§ 2. Пространственно-временные интервалы

Хотя геометрия пространства-времени не обычная (не евклидова), тем не менее эта геометрия очень похожа на евклидову, но в некоторых отношениях весьма своеобразная. Если это представление о геометрии правильно, то должны существовать такие функции координат и времени, которые не зависят от системы координат. К примеру, при обычных вращениях, если взять две точки, одну для простоты в начале координат обеих систем, а другую в любом другом месте, то в обеих системах координат расстояние между точками будет одинаково. Это первое свойство точек, которое не зависит от частного способа измерения: квадрат расстояния, или x2+y2+z2, не меняется при поворотах. А как с пространством-временем? Не трудно показать, что и здесь есть нечто, не зависящее от способа измерения, а именно комбинация c2t2-х2-у2-z2 одинакова до и после преобразования

(17.3)

Поэтому эта величина, подобно расстоянию, «реальна» в том смысле, который был придан этому слову выше; ее называют интервалом между двумя пространственно-временными точками, одна из которых в этом случае совпадает с началом координат. (Точнее говоря, это не интервал, а квадрат интервала, точно так же как и х2+у2+z2 — квадрат расстояния.) Это название подчеркивает различие в геометриях; обратите внимание, что в формуле присутствует с, а некоторые знаки обращены.

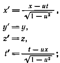
Давайте избавимся от с, оно нам не нужно, если мы хотим иметь удобное пространство, в котором х и t можно переставлять. Представьте, к какой путанице приведет измерение ширины по углу, под которым виден предмет, а толщины — по сокращению мышц при фиксировании глаза на предмет и выражение толщины в метрах, а ширины в радианах. При преобразованиях уравнений типа (17.2) тогда получится страшная неразбериха и ни за что не удастся разглядеть всю простоту и ясность предмета по той технической причине, что одно и то же будет измеряться двумя различными единицами. С помощью уравнений (17.1) и (17.3) природа говорит нам, что время равнозначно пространству; время становится пространством; их надо измерять в одинаковых единицах. Какое расстояние измеряет секунда? Из уравнения (17.3) это легко понять: секунда — это 3·108 м, расстояние, которое свет проходит за 1 сек. Иначе говоря, если бы расстояния и время мы измеряли в одинаковых единицах (секундах), то единицей длины было бы 3·108 м и уравнения упростились бы. А другой способ уравнять единицы — это измерять время в метрах. Чему равен метр времени? Метр времени — это время, за какое свет проходит расстояние в 1 м, т. е. (1/3)·10-8 сек, или 3,3 миллиардных доли секунды! Иными словами, нам нужно записать все уравнения в системе единиц, где с=1. Когда время и пространство станут измеряться в одинаковых единицах, уравнения, естественно, упростятся:

(17.4)

(17.5)

Может быть, вы сомневаетесь в законности этого или вас «пугает», что, положив с=1, вы не сможете вернуться к правильным уравнениям? Напротив, без с их гораздо легче запомнить, а с легко поставить на нужные места, если присмотреться к размерностям. Скажем, в ?(1—u2) мы видим, что из неименованного числа 1 приходится вычитать именованное (квадрат скорости u2); естественно, этот квадрат нужно разделить на с2, чтобы сделать вычитаемое безразмерным. Таким путем можно расставить с, где полагается.

Очень интересно различие между пространством-временем и обыкновенным пространством, различие между интервалом и расстоянием. Посмотрите на формулу (17.5). Если два события произошли в какой-то системе координат в одно и то же время, но в разных точках пространства, то, поместив начало координат в точку, изображающую одно из событий, мы получим, что t=0, а, например, х?0. Значит, квадрат интервала получится отрицательным, а сам интервал — мнимым (корень квадратный из отрицательного числа). Интервалы в этой теории бывают и действительные, и мнимые, потому что их квадраты могут быть и положительными, и отрицательными (в отличие от расстояния, квадрат которого бывает только положительным). Когда интервал мнимый, говорят, что интервал между двумя событиями (точками) пространственно-подобный (а не мнимый), потому что такой интервал получался бы всегда, если бы весь мир застыл на одном времени. С другой стороны, если два предмета в данной системе координат попадают в одно и то же место в разные моменты времени, тогда t?0, а x=y=z=0 и квадрат интервала положителен; это называется времени-подобным интервалом. Далее, если провести на диаграмме пространства-времени две прямые под углом 45° (в четырех измерениях они обратятся в «конус», называемый световым), то точки на этих прямых будут отделены от начала координат нулевым интервалом. Куда бы из начала координат ни распространялся свет, все равно x2+y2+z2=c2t2, т. е. интервал между событием прихода света в любую точку и началом всегда равен нулю [как легко видеть из (17.5)]. Кстати, мы сейчас доказали, что скорость света в любых системах координат одинакова: ведь если интервал в обеих системах одинаков, то, будучи равен нулю в одной из них, он равен нулю и в другой, и квадрат скорости света — отношение x'2+y'2+z'2 к t'2— опять равен с2.

Сказать, что скорость распространения света — инвариант,— это все равно, что сказать, что интервал равен нулю.

Более 800 000 книг и аудиокниг! 📚

Получи 2 месяца Литрес Подписки в подарок и наслаждайся неограниченным чтением

ПОЛУЧИТЬ ПОДАРОК