§ 3. Палочки
Посмотрим теперь подробнее, что происходит в палочках сетчатки. На фиг. 36.5 показана микрофотография середины палочки (конец ее выходит вверх за пределы снимка).

Фиг. 36.5. Электронная микрофотография палочки.
Справа в увеличенном виде слой за слоем видны плоские структуры, содержащие родопсин (зрительный пурпур) — красящее вещество, или пигмент, который, собственно, и обусловливает функцию палочек. Родопсин представляет собой большие молекулы белка, содержащего специальную группу, называемую ретиненом, которая может быть отщеплена от белка, что, несомненно, и является главной причиной поглощения света. Нам пока не понятно, почему эти структуры плоские, но весьма возможно, что это сделано для того, чтобы молекулы родопсина лежали параллельно друг другу. Химия этого явления известна сейчас довольно хорошо, но, кроме того, возможно, что здесь принимает участие и физика. Может оказаться, что все молекулы располагаются в своего рода ряд, и когда одна из них возбуждается, то вылетевший при этом электрон (или просто волна возбуждения) доходит до некоторого места в конце структуры и порождает сигнал или что-нибудь аналогичное. Это очень важная область, и она еще совсем не разработана. Это поле деятельности для биохимии и физики твердого тела или чего-то в этом духе.
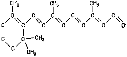
Те же самые слоистые структуры найдены и в других местах, где тоже важен свет, например в хлоропласте растений, где под действием света происходит фотосинтез. При большом увеличении мы обнаруживаем те же самые слои, но, конечно, вместо ретинена мы находим хлорофилл. Химическая форма ретинена показана на фиг. 36.6.

Фиг. 36.6. Строение ретинена.
Его боковая ветвь содержит серию альтернирующих двойных связей, характерную почти для всех сильно поглощающих органических веществ, подобных хлорофиллу, гемоглобину и т. д. Эти вещества человек не может изготовить в своих собственных клетках и должен получать их с пищей в виде специального вещества, в точности похожего на ретинен, за исключением водородной связи на правом конце. Называется это вещество витамином А. Если в пище его недостаточно, то запас ретинена в организме не пополняется и развивается то, что мы называем куриной слепотой, т. е. количества пигмента будет недостаточно для того, чтобы можно было видеть в сумерках.
Известно также, почему такая серия двойных связей очень сильно поглощает свет. Я немного расскажу вам об этом. Альтернирующая серия двойных связей называется сопряженной двойной связью. Двойная связь означает, что там есть дополнительный электрон, который легко сдвинуть вправо или влево. Когда свет ударяет по этой молекуле, то электрон каждой двойной связи на один шаг сдвигается. В результате сдвинутся электроны во всей цепи, подобно тому, как упадут при толчке поставленные друг за другом костяшки домино, и хотя каждый из них проходит очень небольшое расстояние (мы считаем, что в отдельном атоме электрон может проходить только очень маленькое расстояние), в целом получается такой же эффект, как будто электрон с одного конца перескочил на другой! Это то же самое, как если бы один электрон прошел все расстояние взад и вперед, а в таком случае происходит значительно более сильное поглощение под действием электрического поля, чем если бы мы передвинули электрон только на расстояние, связанное с одним атомом. А поскольку двигать электрон взад и вперед не так уже трудно, то ретинен очень сильно поглощает свет; таков механизм, в основе которого лежит физика и химия.
Более 800 000 книг и аудиокниг! 📚
Получи 2 месяца Литрес Подписки в подарок и наслаждайся неограниченным чтением
ПОЛУЧИТЬ ПОДАРОК