§ 6. Эффект Допплера
Рассмотрим теперь ряд других эффектов, связанных с движением источника. Пусть источник представляет собой покоящийся атом, колеблющийся со своей обычной частотой ?0. Частота наблюдаемого света тогда будет равна ?0. Но возьмем другой пример: пусть такой же атом колеблется с частотой ?1 и в то же время весь атом, весь осциллятор как целое движется со скоростью v по направлению к наблюдателю. Тогда истинное движение в пространстве будет таким, как изображено на фиг. 34.10,а.

Фиг, 34.10. Движение осциллятора в плоскости х—z и в плоскости x'—t.
Используем наш обычный прием и добавим с?, т. е. сместим всю кривую назад и получим колебания, представленные на фиг. 34.10,6. За промежуток времени ? осциллятор проходит расстояние v?, а на графике с осями х' и у' соответствующее расстояние равно (с-v)?. Таким образом, число колебаний с частотой ?1, которое укладывалось в интервал А?, на новом чертеже укладывается теперь уже в интервал ??=(1-v/c) ??; осцилляции сжимаются, и, когда новая кривая будет двигаться мимо нас со скоростью с, мы увидим свет более высокой частоты, увеличенной за счет фактора сокращения (1-v/c). Итак, наблюдаемая частота равна
(34.10)
Можно, конечно, объяснить этот эффект и другими способами. Пусть, например, тот же атом испускает не синусоидальную волну, а короткие импульсы (пип, пип, пип, пип) с некоторой частотой ?1. С какой частотой мы будем их воспринимать? Первый импульс к нам придет спустя определенное время, а второй импульс придет уже через более короткое время, потому что атом за это время успел к нам приблизиться. Следовательно, промежуток времени между сигналами «пип» сократился за счет движения атома. Анализируя эту картину с геометрической точки зрения, мы придем к выводу, что частота импульсов увеличивается в 1/(1-v/c) раз.
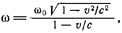
Будет ли наблюдаться частота ?=?0/(1-v/c), если атом с собственной частотой ?0 движется со скоростью v к наблюдателю? Нет. Нам хорошо известно, что собственная частота движущегося атома ?1 и частота покоящегося атома ?0 — не одно и то же из-за релятивистского замедления хода времени. Так что если ?0 — собственная частота покоящегося атома, то частота движущегося атома будет равна
(34.11)
Поэтому наблюдаемая частота ? окончательно равна
(34.12)
Изменение частоты, возникающее в таком случае, называется эффектом Допплера: если излучающий объект движется на нас, излучаемый им свет кажется более синим, а если он движется от нас, свет становится более красным.
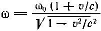
Приведем еще два других вывода этого интересного и важного результата. Пусть теперь покоящийся источник излучает с частотой ?0, а наблюдатель движется со скоростью v к источнику. За время t наблюдатель сдвинется на новое расстояние vt от того места, где он был при t=0. Сколько радиан фазы пройдет перед наблюдателем? Прежде всего, как и мимо любой фиксированной точки, пройдет ?0t, а также некоторая добавка за счет движения источника, а именно vtk0 (это есть число радиан на метр, умноженное на расстояние).
Отсюда число радиан за единицу времени, или наблюдаемая частота, равно ?1=?0+k0v. Весь этот вывод был произведен с точки зрения покоящегося наблюдателя; посмотрим, что увидит движущийся наблюдатель. Здесь мы снова должны учесть разницу в течении времени для наблюдателя в покое и движении, а это значит, что мы должны разделить результат на ?( 1-v2/с2). Итак, пусть k0 есть волновое число (количество радиан на метр в направлении движения), а ?0 — частота; тогда частота, регистрируемая движущимся наблюдателем, равна
(34.13)
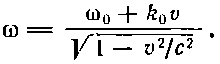
Для света мы знаем, что k0=?0/c. Следовательно, в рассматриваемом примере искомое соотношение имеет вид
(34.14)
и, казалось бы, не похоже на (34.12)!
Отличается ли частота, наблюдаемая при нашем движении к источнику, от частоты, наблюдаемой при движении источника к нам? Конечно, нет! Теория относительности утверждает, что обе частоты должны быть в точности равны. Если бы мы были достаточно математически подготовлены, то могли бы убедиться, что оба математических выражения в точности равны! В действительности требование равенства обоих выражений часто используется для вывода релятивистского замедления времени, потому что без квадратных корней равенство сразу нарушается.
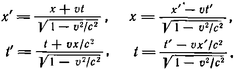
Раз уж мы начали говорить о теории относительности, приведем еще и третий способ доказательства, который покажется, пожалуй, более общим. (Суть дела остается прежней, ибо не играет роли, каким способом получен результат!) В теории относительности имеется связь между положением в пространстве и временем, определяемым одним наблюдателем, и положением и временем, определяемым другим наблюдателем, движущимся относительно первого. Мы уже выписывали эти соотношения (гл. 16). Они представляют собой преобразования Лоренца, прямые и обратные:
(34.15)
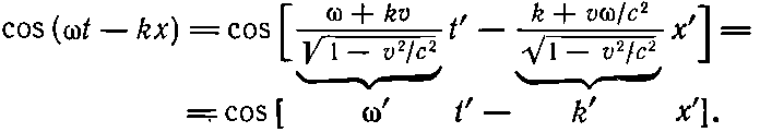
Для неподвижного наблюдателя волна имеет вид cos(?t-kx); все гребни, впадины и нули описываются этой формой. А как будет выглядеть та же самая физическая волна для движущегося наблюдателя? Там, где поле равно нулю, любой наблюдатель при измерении получит нуль; это есть релятивистский инвариант. Следовательно, форма волны не меняется, нужно только написать ее в системе отсчета движущегося наблюдателя:

Произведя перегруппировку членов, получим
(34.16)
Мы снова получим волну в виде косинуса с частотой ?' в качестве коэффициента при t' и некоторой другой константой k' — коэффициентом при х'. Назовем k' (или число колебаний на 1 м) волновым числом для второго наблюдателя. Таким образом, движущийся наблюдатель отметит другую частоту и другое волновое число, определяемые формулами
(34.17)
(34.18)
Легко видеть, что (34.17) совпадает с формулой (34.13), полученной нами на основании чисто физических рассуждений.
Более 800 000 книг и аудиокниг! 📚
Получи 2 месяца Литрес Подписки в подарок и наслаждайся неограниченным чтением
ПОЛУЧИТЬ ПОДАРОК