§ 5. Амплитуда вероятности частиц
Рассмотрим еще один необычайно интересный пример фазовой скорости. Он относится к области квантовой механики. Известно, что амплитуда вероятности найти частицу в данном месте изменяется при некоторых обстоятельствах в пространстве и времени (давайте возьмем одно измерение) следующим образом:
(48.19)
где ? — частота, связанная с классической энергией, E=??, а k — волновое число, которое связано с импульсом соотношением р=?k. Мы говорим, что частица имеет определенный импульс р, если волновое число в точности равно k, т. е. если бежит идеальная волна повсюду с одинаковой амплитудой. Выражение (48.19) дает амплитуду вероятности, но если мы возьмем квадрат абсолютной величины, то получим относительную вероятность обнаружения частицы как функцию положения и времени. В данном случае она равна постоянной, что означает вероятность обнаружить частицу в любом месте. Рассмотрим теперь такой случай, когда известно, что обнаружить частицу в каком-то месте более вероятно, чем в других местах. Подобную картину мы описываем волной, которая имеет максимум в данном месте и сходит на нет по мере удаления в стороны (фиг. 48.6).

Фиг. 48.6. Локализованный волновой пакет,
(Это не то же самое, что изображено на фиг. 48.1, где волна имеет целый ряд максимумов, но сними вполне можно расправиться, сложив несколько волн с приблизительно одинаковыми значениями ? и k. Таким способом можно избавиться от всех максимумов, кроме одного.)
При этих обстоятельствах, поскольку квадрат выражения (48.19) представляет вероятность найти частицу в некотором месте, мы знаем, что в данный момент больше шансов найти частицу вблизи центра «колокола», где амплитуда максимальна. Если подождать немного, то волна передвинется, и по прошествии некоторого промежутка времени «колокол» перейдет в какое-то другое место. Зная, что частица вначале где-то была расположена, мы ожидали бы, согласно классической механике, что она будет где-то и позднее, ведь есть же у нее скорость и импульс в конце концов. При этом квантовая теория дает в пределе правильные классические соотношения между энергией, импульсом и скоростью, если только групповая скорость, скорость модуляции, будет равна скорости классической частицы с тем же самым импульсом.
Сейчас необходимо показать, так ли это на самом деле или нет. Согласно классической теории, энергия связана со скоростью уравнением
(48.20)
Точно таким же образом импульс равен
(48.21)
Как следствие отсюда после исключения v получается

т. е. р?р?=m2. Это величайший результат четырехмерья, о котором мы уже говорили много раз, устанавливающий связь между энергией и импульсом в классической теории. Теперь же, поскольку мы собираемся заменить E и p на ? и k помощью подстановки Е=?? и p=?k, он означает, что в квантовой механике должна существовать связь
(48.22)
Таким образом, возникло соотношение между частотой и волновым числом квантовомеханической амплитуды, описывающей частицу с массой m. Из этого уравнения можно получить

т. е. фазовая скорость ?/k снова больше скорости света!
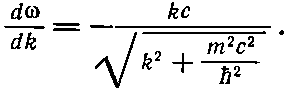
Рассмотрим теперь групповую скорость. Она должна быть равна скорости, с которой движется модуляция, т. е. d?/dk.
Чтобы найти ее, нужно продифференцировать квадратный корень; это дело нехитрое. Производная равна

Но входящий сюда квадратный корень есть попросту ?/с, так что эту формулу можно записать в виде d?/dk=c2k/?. Далее, так как k/? равно р/Е, то

Но, согласно (48.20) и (48.21), с2р/Е равно v — скорости частицы в классической механике. Таким образом видно, что, принимая во внимание основные квантовомеханические соотношения E=?? и p=?k, определяющие ? и k через классические величины Е и р и дающие только уравнение ?2-k2c2==m2с4/?2, теперь можно понять также соотношения (48.20) и (48.21), связывающие Е и р со скоростью. Групповая скорость, разумеется, должна быть скоростью частиц, если эта интерпретация вообще имеет какой-либо смысл. Пусть в какой-то момент, как мы полагаем, частица находится в одном месте, а затем, скажем через 10 минут,— в другом. Тогда, согласно квантовой механике, расстояние, пройденное «колоколом», разделенное на интервал времени, должно равняться классической скорости частицы.
Более 800 000 книг и аудиокниг! 📚
Получи 2 месяца Литрес Подписки в подарок и наслаждайся неограниченным чтением
ПОЛУЧИТЬ ПОДАРОК