§ 3. Волновое уравнение
Итак, физические явления, происходящие в звуковой волне, обладают следующими тремя свойствами:
I. Газ движется, и плотность его меняется.
II. При изменении плотности меняется и давление.
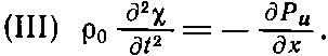
III. Неравномерное распределение давления вызывает движение газа.
Рассмотрим сначала свойство II. Для любого газа, жидкости или твердого тела давление является функцией плотности. До прихода звуковой волны мы имели равновесное состояние с давлением Р0 и плотностью ?0. Давление Р зависит от плотности среды: Р=f(?), и в частности равновесное давление Р0=f(?0). Отклонения величины давления от равновесного в звуковой волне очень малы. Давление удобно измерять в барах (1 бар=105н/м2). Давление в одну стандартную атмосферу приблизительно равно 1 бар (1 атм=1,0133 бар). Для звука обычно используется логарифмическая шкала интенсивности, так как восприятие уха, грубо говоря, растет логарифмически. В этой децибельной шкале уровень звукового давления I связан с амплитудой звукового давления:
(47.1)
где давление отнесено к некоторому стандартному давлению Ротн=2·10-10 бар.
Звуковое давление Р=103 Ротн=2·10-7 бар[35] соответствует довольно сильному звуку в 60 дб. Мы видим, что давление меняется в звуковой волне на очень малую величину по сравнению с равновесным или средним, равным 1 атм. Смещение и перепады плотности также очень малы. При взрывах, однако, изменения уже не столь малы; избыточное звуковое давление может превышать 1 атм. Такие большие перепады давления приводят к новым явлениям, которые мы рассмотрим позже. В звуковых волнах уровень силы звука выше 100 дб встречается редко; уровень силы звука в 120 дб уже вызывает боль в ушах. Поэтому, написав для звуковой волны
(47.2)
можно считать, что изменение давления Pu очень мало по сравнению с P0, а изменение плотности ?u очень мало по сравнению с ?0. Тогда
(47.3)
где P0=f(?0) и f'(?0) — производная от f(?), взятая при значении ?=?0. Второе равенство здесь возможно только потому, что ?u очень мало. Таким образом, мы находим, что избыточное давление Pu пропорционально избыточной плотности ?u; коэффициент пропорциональности обозначается через ?:

Это весьма простое соотношение и составляет точное содержание свойства II.
Перейдем теперь к свойству I. Предположим, что положение элемента объема воздуха, не возмущенного звуковой волной, есть х, а звук смещает его в момент времени t на величину ?(х,t), так что его новое положение есть x+?(x,t), как показано на фиг. 47.3.

Фиг. 47.3. Смещение воздуха в точке х есть ?(х,t), а в точке х+?х равно ?(x+?x,t). Первоначальный объем, приходящийся на единицу площади в плоской звуковой волне, есть ?x, а окончательный объем равен ?x+?(x+?x,t)-?(x,t).
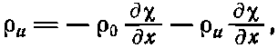
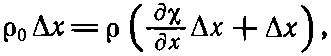
Далее, положение соседнего элемента объема есть х+?х, и его смещенное положение есть х+?х+?(х+?х,t). Теперь можно найти изменение плотности. Поскольку мы рассматриваем плоскую волну, удобно взять единичную площадку, перпендикулярную оси х, т. е. направлению распространения волны. Количество воздуха, приходящееся на единичную площадку в интервале ?x, есть ?0?x, где ?0 — невозмущенная, или равновесная, плотность воздуха. Эта порция воздуха, смещенная звуковой волной, будет находиться теперь между x+?(x,t) и x+?х+?(х+?х,t), причем количество воздуха в этом интервале то же самое, что в интервале ?x до прихода волны. Если через ? обозначить новую плотность, то
(47.5)
Поскольку ?x мало, можно написать ?(x+?x,t)-?(x,t)=(??/?x)?x. Здесь уже появляется частная производная, потому что ? зависит и от x, и от времени. Наше уравнение принимает вид
(47.6)
или
(47.7)
Но в звуковой волне все изменения малы, так что ?u мало, ? мало и ??/?x тоже мало. Поэтому в уравнении, которое мы только что написали,
(47.8)
можно пренебречь ?u(??/?x) по сравнению с ?0(??/?x). Так мы приходим к соотношению, которое требовалось согласно свойству I:
(47.9)
Именно такой вид уравнения можно было ожидать из чисто физических соображений. Если смещение различно для разных х, плотность будет изменяться. Знак тоже правильный: если смещение ? растет с ростом х, так что воздух расширяется, плотность должна уменьшаться.
Теперь нам нужно найти третье уравнение — уравнение движения, производимого избытком давления. Зная соотношение между силой и давлением, можно получить уравнение движения. Возьмем объем воздуха толщиной ?x и с единичной площадью грани, перпендикулярной х, тогда масса воздуха в этом объеме есть ?0?x, а ускорение воздуха есть ?2?/?t2, так что масса, умноженная на ускорение для этого слоя, есть ?0?x(?2?/?t2). (Если ?x мало, то безразлично, где брать ускорение — на краю слоя или где-нибудь посредине.) Сила, действующая на единичную площадку нашего слоя, перпендикулярную оси x, должна быть равна ?0?x(?2?/?t2). В точке х мы имеем силу Р(х,t), действующую на единицу площади в направлении +х, а в точке x+?x возникает сила в обратном направлении, по величине равная Р(x+?x, t) (фиг. 47.4):

Фиг. 47.4. Результирующая сила в направлении оси х, возникающая за счет давления на единичную площадку, перпендикулярную к оси х, есть — (?P/?x)?х.
(47.10)
Мы учли, что ?x мало и что только избыточное давление Рu меняется в зависимости от х. Итак, согласно свойству III мы получаем
(47.11)
Теперь уже уравнений достаточно, чтобы увязать все величины и привести к одной переменной, скажем х. Можно выразить Рu в (47.11) с помощью (47.4):
(47.12)
а затем исключить ?u с помощью (I). Тогда ?0 сократится и у нас останется
(47.13)
Обозначим сs2=?, тогда можно написать
(47.14)
Это и есть волновое уравнение, которое описывает распространение звука в среде.
Более 800 000 книг и аудиокниг! 📚
Получи 2 месяца Литрес Подписки в подарок и наслаждайся неограниченным чтением
ПОЛУЧИТЬ ПОДАРОК