§ 5. Теорема об энергии
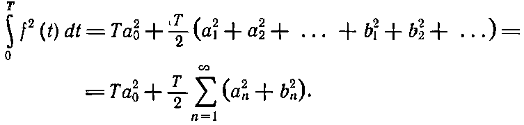
Энергия волны пропорциональна квадрату ее амплитуды. Для сложной волны энергия за один период пропорциональна 0?Tf2(t)dt. Эту энергию можно связать с коэффициентами Фурье. Напишем
(50.22)
После раскрытия квадрата в правой части мы получим сумму всевозможных перекрестных членов типа a5cos5?tb7cos7?t. Однако выше мы уже показали [уравнения (50.11) и (50.12)], что интегралы от всех таких членов по одному периоду равны нулю, так что останутся только квадратные члены, подобные a25cos25?t. Интеграл от любого квадрата косинуса или синуса по одному периоду равен Т/2, так что получаем
(50.23)
Это уравнение называют «теоремой об энергии», которая говорит, что полная энергия волны равна просто сумме энергий всех ее фурье-компонент. Применяя, например, эту теорему к ряду (50.19), мы получаем

поскольку [f(t)]2=1. Таким образом мы узнали, что сумма квадратов обратных нечетных чисел равна ?2/8. Точно так же, выписав сначала ряд Фурье для функции и используя затем теорему об энергии, можно доказать результат, понадобившийся нам в гл. 45, т. е. что 1+1/24+1/34+... равно ?4/90.
Более 800 000 книг и аудиокниг! 📚
Получи 2 месяца Литрес Подписки в подарок и наслаждайся неограниченным чтением
ПОЛУЧИТЬ ПОДАРОК