§ 6. Интенсивность отраженного света
Рассмотрим здесь количественную зависимость коэффициента отражения от угла падения. На фиг. 33.6, а показан пучок света, падающий на поверхность стеклянной пластинки, от которой он частично отражается, а остальная его часть преломляется и уходит в глубь стекла. Пусть падающий луч имеет единичную амплитуду и линейно поляризован перпендикулярно плоскости рисунка. Обозначим амплитуду отраженной волны буквой b, а амплитуду преломленной —буквой а. Отраженная и преломленная волны будут, разумеется, линейно поляризованы, а направления электрического поля в падающей, отраженной и преломленной волнах параллельны друг другу.

Фиг. 33.6. Падающая волна единичной амплитуды отражается и преломляется на поверхности стекла. а — падающая волна поляризована по нормали к плоскости страницы; б — падающая волна поляризована в направлении, указанном пунктирной стрелкой.
На фиг. 33.6,б показана подобная же ситуация, но в предположении, что падающий луч поляризован в плоскости рисунка. Здесь через В и А обозначены соответственно амплитуды отраженной и преломленной волн.
Мы хотим вычислить интенсивности отраженного луча в обоих случаях, приведенных на фиг. 33.6. Как мы уже знаем, в случае, показанном на фиг. 33.6, б, отраженной волны не возникает, если угол между отраженным и преломленным лучами прямой, но нам хотелось бы получить количественный результат — точную формулу для амплитуд В и b как функций угла падения i. Полезно усвоить следующий принцип. Индуцированные в стекле токи генерируют две волны. Прежде всего они создают волну отражения. Далее, если бы в стекле токов не было, падающая волна прошла бы его насквозь, не меняя направления. Вспомним, что все заряды во Вселенной создают некое результирующее поле. Источник, создавший падающий пучок, дает поле единичной амплитуды, которое само по себе должно было бы проходить внутрь стекла по пунктирной линии (см. фиг. 33.6). Но это поле внутри стекла не наблюдается, а, следовательно, токи, возбуждаемые в стекле, должны излучать поле с амплитудой -1 вдоль той же пунктирной линии. Это позволяет вычислить амплитуды преломленных волн а и А.
Из фиг. 33.6, а видно, что поле с амплитудой b создается движением зарядов стекла, а внутри стекла это же движение дает поле с амплитудой а; следовательно, амплитуда b пропорциональна амплитуде а. Далее, если отвлечься от направления поляризации, можно было бы предположить, что отношение В/А равно отношению b/a, так как обе схемы на фиг. 33.6 можно считать одинаковыми. На самом деле это не совсем правильно, потому что на фиг. 33.6, б в отличие от ситуации, изображенной на фиг. 33.6, а, направления поляризаций не параллельны друг другу. В создании амплитуды В эффективно участвует только компонента А, параллельная В, т. е. Acos(i+r). Правильное соотношение пропорциональности выглядит поэтому так:
(33.1)
Теперь немного схитрим. Как мы знаем, на обоих рисунках фиг. 33.6 электрическое поле в стекле вызывает движение зарядов, которое генерирует поле с амплитудой, равной -1, поляризованное точно так же, как и в падающем луче, и распространяющееся вдоль пунктирной линии. Но из фиг. 33.6, б видно, что только перпендикулярная пунктирной линии компонента А дает полю необходимую поляризацию, тогда как на фиг. 33.6,а в создании поля на пунктирной линии эффективно участвует вся амплитуда а, поскольку ее поляризация параллельна поляризации поля с амплитудой -1. Следовательно, справедливо соотношение
(33.2)
так как обе амплитуды в левой части (33.2) создают волны с амплитудой -1.
Разделив (33.1) на (33.2), получаем
(33.3)
Проверим правильность этого результата на уже известном нам факте. Положив (i+r)=90°, из (33.3) получим B=0, что и было найдено в свое время Брюстером; таким образом, наш результат по крайней мере не содержит очевидной ошибки.
По предположению падающая волна имеет единичную амплитуду; тогда |B|2/12 есть коэффициент отражения лучей, поляризованных в плоскости падения, а |b|2/12 — коэффициент отражения лучей, поляризованных перпендикулярно плоскости падения. Отношение этих двух коэффициентов определяется с помощью формулы (33.3).
А теперь сотворим чудо и вычислим не только отношение, но и каждый коэффициент |В|2 и |b|2 в отдельности! Из закона сохранения энергии вытекает, что энергия преломленной волны должна быть равна энергии падающей волны минус энергия отраженной волны, т. е. 1-|В|2 в одном случае и 1-|b|2 —в другом. Более того, энергия света, прошедшего внутрь стекла в случае, показанном на фиг. 33.6, а, и такая же энергия в случае фиг. 33.6, б относятся как квадраты амплитуд преломленных волн: |A|2/|а|2. Возникает вопрос, возможно ли вычислить энергию волны в стекле, если кроме энергии электрического поля, вообще говоря, имеется и энергия движения атомов. Однако ясно, что любой вклад в полную энергию должен быть пропорционален квадрату амплитуды электрического поля. Следовательно,
(33.4)
Подставим сюда соотношение (33.2) и исключим A/a в написанном выражении, а величину В выразим через b с помощью формулы (33.3):
(33.5)
Здесь неизвестной величиной остается только b. Разрешая уравнение относительно |b|2, получаем
(33.6)
и, воспользовавшись (33.3), находим
(33.7)
Таким образом, мы нашли коэффициент отражения |b|2 для падающей волны, поляризованной перпендикулярно плоскости падения, и коэффициент отражения |B|2 для волны, поляризованной в плоскости падения!
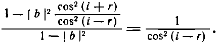
Используя подобные приемы доказательства, можно пойти дальше и вывести, что b действительно. Для доказательства рассмотрим случай, когда свет приходит одновременно с обеих сторон поверхности стекла (ситуация, трудно осуществимая на опыте, но забавная в теоретическом отношении). Анализируя этот общий случай, можно убедиться в действительности величины b, откуда следует, что b=±sin(i-r)/sin(i+r). Если взять очень тонкий слой, в котором отражение происходит от обеих поверхностей, и вычислить интенсивность отраженного света, то можно установить даже знак b. Доля света, отраженного тонким слоем, нам известна, поскольку мы знаем ток, генерируемый в таком слое, и даже получили формулу для поля, создаваемого током. Эти аргументы приводят к соотношениям
(33.8)
Формулы (33.8) для коэффициентов отражения как функций углов падения и преломления называются формулами Френеля.
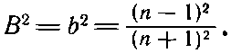
В пределе, когда углы i и r стремятся к нулю, т. е. в случае падения по нормали, мы получаем В2?b2?(i-r)2/(i+r)2 для обеих поляризаций, поскольку и синусы, и тангенсы в этих условиях практически равны углам. Но, как мы уже знаем, sini/sinr=n, а для малых углов i/r?n. Отсюда совсем просто вывести, что коэффициент отражения в случае падения по нормали равен

Интересно вычислить, например, коэффициент отражения для воды. В этом случае n=4/3 и коэффициент отражения равен (1/7)2?2%. При падении лучей по нормали к поверхности от воды отражается только 2% всей энергии.
Более 800 000 книг и аудиокниг! 📚
Получи 2 месяца Литрес Подписки в подарок и наслаждайся неограниченным чтением
ПОЛУЧИТЬ ПОДАРОК