§ 3. Импульс всё-таки сохраняется!
Можно экспериментально проверить наши предположения о том, что, во-первых, покоящиеся два тела с равной массой, разорванные взрывом, полетят в разные стороны с равной скоростью и, во-вторых, что два тела, обладающие равными скоростями и массами, при соударении и слипании останавливаются. Такую проверку можно сделать с помощью замечательного устройства — воздушного желоба (фиг. 10.1).

Фиг. 10.1. Воздушный желоб (вид с торца).
В этом устройстве нет никаких трущихся деталей — вопрос, который очень беспокоил Галилея. Он не мог поставить эксперимента со скользящими телами, ибо они не скользили свободно, но о помощью чудесного желоба мы можем теперь избавиться от трения. Наши тела будут лететь без помех, а скорость их, согласно предвидению Галилея, будет оставаться постоянной. Это достигается тем, что тело поддерживается воздушной подушкой, а поскольку трение о воздух очень мало, то тело планирует практически с постоянной скоростью, если на него не действуют никакие силы. Возьмем сначала два скользящих бруска, вес или массы которых с большой точностью равны друг другу (практически измеряется вес, но он, как вы знаете, пропорционален массе), и поместим между ними небольшой взрыватель в закрытом цилиндре (фиг. 10.2).

Фиг. 10.2. Продольный разрез скользящего бруска, скрепленного со взрывным цилиндром.
Всю эту систему устанавливаем в центре желоба и электрической искрой поджигаем взрыватель. Что же произойдет? Если массы брусков одинаковы, то они, разлетевшись в стороны, одновременно достигнут концов желоба. Там они отскакивают от ограничителей, сталкиваются и слипаются в центре, точно в том же месте, откуда разлетелись (фиг. 10.3).

Фиг. 10.3. Схема эксперимента с равными массами.
Это интересный опыт. И в действительности происходит все так, как мы рассказали.
Теперь на очереди проблема посложнее. Допустим, мы имеем две массы, причем одна движется со скоростью v, а другая стоит на месте. Затем первая ударяет по второй и они слипаются. Что произойдет дальше? Образуется одно тело с массой 2m, которое как-то будет двигаться. Но с какой скоростью? Вот в чем вопрос. Чтобы ответить на него, предположим, что мы едем вдоль желоба на автомобиле. Все законы физики должны при этом выглядеть точно так же, как и прежде, когда мы стояли на месте. Мы начали с того, что если столкнуть два тела с равными массами и одинаковыми скоростями v, то после слипания они останавливаются. А теперь представьте, что в это время мы катим на автомобиле со скоростью —v. Какую же картину мы увидим? Ясно, что одно из тел, поскольку оно все время летит рядом с автомобилем, будет казаться нам неподвижным. Второе же, которое движется навстречу со скоростью v, покажется нам несущимся с удвоенной скоростью 2v (фиг. 10.4).

Фиг. 10.4. Неупругое соударение равных масс.
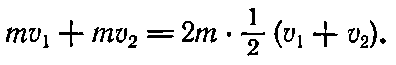
Наконец, образовавшееся после соударения и слипания тело будет казаться нам летящим со скоростью v. Отсюда мы делаем вывод, что если тело, летящее со скоростью 2v, ударяется о покоящееся тело той же массы и прилипает к нему, то образовавшееся тело будет двигаться со скоростью v, или (что математически то же самое) тело со скоростью v, ударяясь о покоящееся тело той же массы и прилипая к нему, образует тело, движущееся со скоростью v/2. Заметьте, что если умножить массы тел на их скорости и сложить их, то получим одинаковый результат как до столкновения (mv+0), так и после (2m·v/2). Вот как обстоит дело, если тело, обладающее скоростью v, столкнется с телом, находящимся в покое.
Точно таким же образом можно определить, что произойдет, когда сталкиваются два одинаковых тела, каждое из которых движется с произвольной скоростью.
Пусть одно тело летит со скоростью v1 , а другое — со скоростью v2 в том же направлении (v1>v2). Какова будет их скорость после соударения? Давайте снова сядем в машину и поедем, скажем, со скоростью v2. Тогда одно из тел будет казаться нам стоящим на месте, а второе — налетающим на него со скоростью v1-v2. Эта ситуация уже знакома нам, и мы знаем, что после соударения скорость нового тела по отношению к машине будет равна 1/2(v1-v2). Что же касается действительной скорости относительно земли, то ее можно найти, прибавив скорость автомобиля: v=1/2(v1-v2)+v2 или 1/2(v1+v2) (фиг. 10.5).

Фиг. 10.5. Другой случай неупругого соударения равных масс.
Обратите внимание, что снова
(10.6)
Таким образом, принцип относительности Галилея помогает нам разобраться в любом соударении равных масс. До сих пор мы рассматривали движение в одном измерении, однако на основе его становится ясным многое из того, что будет происходить в более сложных случаях соударения: нужно только пустить автомобиль не вдоль направления движения тел, а под каким-то углом. Принцип остается тем же самым, хотя детали несколько усложняются.
Чтобы экспериментально проверить, действительно ли тело, летящее со скоростью v после столкновения с покоящимся телом той же массы, образует новое тело, летящее со скоростью v/2, проделаем на нашей замечательной установке следующий опыт. Поместим в желоб три тела с одинаковыми массами, два из которых соединены цилиндром со взрывателем, а третье находится вблизи одного из них, хотя и несколько отделено от него. Оно снабжено клейким амортизатором, так что прилипает к тому телу, которое ударяет его. В первое мгновение после взрыва мы имеем два объекта с массами m, движущимися со скоростью v каждое. В последующее мгновение одно из тел сталкивается с третьим и образует новое тело с массой 2m, которое, как мы полагаем, должно двигаться со скоростью v/2. Но как проверить, что скорость его действительно v/2? Для этого мы вначале установим тела таким образом, чтобы расстояния до концов желоба относились как 2:1, так что первое тело, которое продолжает двигаться со скоростью v, должно пролететь за тот же промежуток времени вдвое большее расстояние, чем скрепившиеся два других тела (с учетом, конечно, того малого расстояния ?, которое второе тело прошло до столкновения с третьим). Если мы правы, то массы m и 2m должны достичь концов желоба одновременно; так оно и происходит на самом деле (фиг. 10.6).

Фиг. 10.6. Экспериментальная проверка того факта, что масса m, ударяя со скоростью v массу m, образует тело с массой 2m и скоростью v/2.
Следующая проблема, которую мы должны решить: что получится, если тела имеют разные массы. Давайте возьмем массы m и 2m и устроим между ними взрыв. Что произойдет тогда? С какой скоростью полетит масса 2m, если масса m летит со скоростью v? Фактически нам нужно повторить только что проделанный эксперимент, но с нулевым зазором между вторым и третьим телом. Разумеется, что при этом мы получим тот же результат — скорости тел с массами m и 2m должны быть соответственно равны -v и v/2. Итак, при разлете тел с массами m и 2m получается тот же результат, что и при симметричном разлете двух тел с массами m с последующим неупругим соударением одного из этих тел с третьим, масса которого тоже равна m. Более того, отразившись от концов, каждое из этих тел будет лететь с почти той же скоростью, но, конечно, в обратном направлении, и после неупругого соударения они останавливаются.
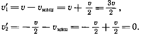
Перейдем теперь к следующему вопросу. Что произойдет, если тело с массой m и скоростью v столкнется с покоящимся телом с массой 2m? Воспользовавшись принципом относительности Галилея, можно легко ответить на этот вопрос. Попросту говоря, нам нужно опять садиться в машину, идущую со скоростью -v/2 (фиг. 10.7), и наблюдать за только что описанным процессом.

Фиг. 10.7. Неупругое соударение между телами с массами m и 2m.
Скорости, которые мы при этом увидим, будут равны

После соударения масса 3m покажется нам движущейся со скоростью v/2. Таким образом, мы получили, что отношение скоростей до и после соударения равно 3:1, т. е. образовавшееся тело с массой 3m будет двигаться в три раза медленней. И в этом случае снова выполняется общее правило: сумма произведений массы на скорость остается той же как до, так и после соударения: mv+0 равно 3m·v/3. Вы видите, как постепенно шаг за шагом устанавливается закон сохранения импульса.
Итак, мы рассмотрели столкновение одного тела с двумя. Используя те же рассуждения, можно предсказать результаты столкновения одного тела с тремя телами, двух тел с тремя телами и т. д. На фиг. 10.8 как раз показан случай разлета масс 2m и 3m из состояния покоя.

Фиг. 10.8. Разлет тел с массами 2m и 3m.
В каждом из этих случаев выполняется одно и то же правило: масса первого тела, умноженная на его скорость, плюс масса второго тела, умноженная на его скорость, равны произведению полной массы на скорость ее движения. Все это — примеры сохранения импульса. Итак, начав с простого случая симметричных равных масс, мы установили закон сохранения для более сложных случаев. В сущности это можно сделать для любого рационального отношения масс, а поскольку любое число может быть со сколь угодно большой точностью заменено рациональным, то закон сохранения импульса справедлив для любых масс.
Более 800 000 книг и аудиокниг! 📚
Получи 2 месяца Литрес Подписки в подарок и наслаждайся неограниченным чтением
ПОЛУЧИТЬ ПОДАРОК