§ 8. Релятивистская динамика
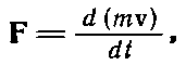
Теперь мы готовы к тому, чтобы с более общей точки зрения исследовать, как преобразования Лоренца изменяют законы механики. [До сих пор мы только объясняли, как изменяются длины и времена, но не объяснили, как получить измененную формулу для m, уравнение (15.1). Это будет сделано в следующей главе.] Изучение следствий формулы Эйнштейна для массы m в механике Ньютона мы начнем с закона силы. Сила есть быстрота изменения импульса, т. е.

Импульс по-прежнему равен mv, но теперь
(15.10)
Это законы Ньютона в записи Эйнштейна. При этом видоизменении, если действие и противодействие по-прежнему равны (может, не в каждый момент, но по крайней мере после усреднения по времени), то, как и раньше, импульс должен сохраняться, но сохраняющейся величиной является не старое mv при постоянном m, а выражение (15.10) с переменной массой. С таким изменением в формуле для импульса сохранение импульса по-прежнему будет существовать.
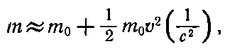
Посмотрим теперь, как импульс зависит от скорости. В ньютоновой механике он ей пропорционален. В релятивистской механике в большом интервале скоростей (много меньших с) они также примерно пропорциональны [см. (15.10)], потому что корень мало отличается от единицы. Но когда v почти равно с, то корень почти равен нулю и импульс поэтому беспредельно растет.
Что бывает, когда на тело долгое время воздействует постоянная сила? В механике Ньютона скорость тела беспрерывно будет возрастать и может превысить даже скорость света. В релятивистской же механике это невозможно. В теории относительности беспрерывно растет не скорость тела, а его импульс, и рост этот сказывается не на скорости, а на массе тела. Со временем ускорение, т. е. изменения в скорости, практически исчезает, но импульс продолжает расти. Поскольку сила приводит к очень малым изменениям в скорости тела, мы, естественно, считаем, что у тела громадная инерция. Но как раз это самое и утверждает релятивистская формула (15.10) для массы тела; она говорит, что инерция крайне велика, когда v почти равно с. Разберем пример. Чтобы отклонить быстрые электроны в синхротроне Калифорнийского Технологического института, необходимо магнитное поле, в 2000 раз более сильное, чем следует из законов Ньютона. Иными словами, масса электронов в синхротроне в 2000 раз больше их нормальной массы, достигая массы протона! Если m в 2000 раз больше m0, то 1-v2/с2 равно 1/4 000 000, или v отличается от с на 1/8 000 000, т.е. скорость электронов вплотную подходит к скорости света. Если электроны и свет одновременно отправятся в соседнюю лабораторию (находящуюся, скажем, в 200 м), то кто явится первым? Ясное дело, свет: он всегда движется быстрее[14]. Но насколько быстрее? Трудно сказать, насколько раньше во времени, но зато можно сказать, на какое расстояние отстанут электроны: на 1/30 мм, т. е. на 1/3 толщины этого листка бумаги! Масса электронов в этих состязаниях чудовищна, а скорость не выше скорости света.
На чем еще скажется релятивистский рост массы? Рассмотрим движение молекул газа в баллоне. Если газ нагреть, скорость молекул возрастет, а вместе с нею и их масса. Газ станет тяжелее. Насколько?
Разлагая m0/?(1-v2/c2)=m0(1-v2/с2)-1/2 в ряд по формуле бинома Ньютона, можно найти приближенно рост массы при малых скоростях. Получается

Из формулы ясно, что при малых v ряд быстро сходится и первых двух-трех членов здесь вполне достаточно. Значит, можно написать
(15.11)
где второй член и выражает рост массы за счет повышения скорости. Когда растет температура, v2 растет в равной мере, значит, увеличение массы пропорционально повышению температуры. Но 1/2m0v2 — это кинетическая энергия в старомодном, ньютоновом смысле этого слова. Значит, можно сказать, что прирост массы газа равен приросту кинетической энергии, деленной на с2, т. е. ?m=?(к.э.)/с2.
Более 800 000 книг и аудиокниг! 📚
Получи 2 месяца Литрес Подписки в подарок и наслаждайся неограниченным чтением
ПОЛУЧИТЬ ПОДАРОК