§ 5. Комплексные числа
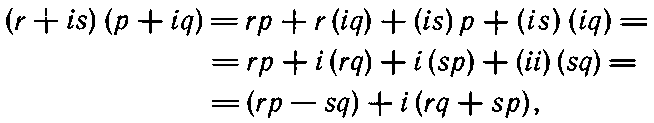
Хотя мы хорошо поработали, все-таки есть еще уравнения, которые нам не под силу! Например, чему равен квадратный корень из -1? Предположим, что это х, тогда х2=-1. Нет ни рационального, ни иррационального числа, квадрат которого был бы равен -1. Придется снова пополнить запас чисел. Предположим, что уравнение х2=-1 все же имеет решение, и обозначим это решение буквой i; число i имеет пока только одно свойство: будучи возведенным в квадрат, оно дает -1. Вот пока и все, что можно о нем сказать. Однако уравнение х2=-1 имеет два корня. Буквой i мы обозначили один из корней, но кто-нибудь может сказать: «А я предпочитаю иметь дело с корнем -i; моя буква i просто минус ваша i». Возразить ему нечего, потому что число i определяется соотношением i2=-1; это соотношение останется верным, если изменить знак i. Значит, любое уравнение, содержащее какое-то количество i, останется верным, если сменить знаки у всех i. Такая операция называется комплексным сопряжением. Далее, ничто не мешает нам получать новые числа вот так: сложить i несколько раз, умножить i на какое-нибудь наше старое число, прибавить результат умножения к старому числу и т. д. Все это можно сделать, не нарушая ранее установленных правил. Таким образом мы приходим к числам, которые можно записать в виде p+iq, где p и q — числа, с которыми мы имели дело ранее, их называют действительными числами. Число i называют мнимой единицей, а произведение действительного числа на мнимую единицу — чисто мнимым числом. Самое общее число а имеет вид a=p+iq, и его называют комплексным числом. Обращаться с комплексными числами несложно; например, нам надо вычислить произведение (r+is)(p+q). Вспомнив о правилах, мы получим
(22.4)
потому что i·i=i2=-1. Теперь мы получили общее выражение для чисел, удовлетворяющих правилам (22.1).
Умудренные опытом, полученным в предыдущих разделах, вы скажете: «Рано говорить об общем выражении, надо еще определить, например, возведение в мнимую степень, а потом можно придумать много алгебраических уравнений, ну хотя бы x6+3x2=-2, для решения которых потребуются новые числа». В том-то и дело, что, кроме действительных чисел, достаточно изобрести только одно число — квадратный корень из -1, после этого можно решить любое алгебраическое уравнение! Эту удивительную вещь должны доказывать уже математики. Доказательство очень красиво, очень интересно, но далеко не самоочевидно. Действительно, казалось бы, естественнее всего ожидать, что по мере продвижения в дебри алгебраических уравнений придется изобретать снова, снова и снова. Но самое чудесное, что больше ничего не надо изобретать. Это последнее изобретение. Изобретя комплексные числа, мы установим правила, по которым с этими числами надо обращаться, и больше ничего изобретать не будем. Мы научимся возводить комплексные числа в комплексную степень и выражать решение любого алгебраического уравнения в виде конечной комбинации уже известных нам символов. К новым числам это не приведет. Например, квадратный корень из i, или ii— опять те же комплексные числа. Сейчас мы рассмотрим это подробнее.
Мы уже знаем, как надо складывать и умножать комплексные числа; сумма двух комплексных чисел (р+iq)+(r+is) — это число (p+r)+i(q+s). Но вот возведение комплексных чисел в комплексную степень — уже задача потруднее. Однако она оказывается не труднее задачи о возведении в комплексную степень действительных чисел. Посмотрим поэтому, как возводится в комплексную степень число 10, не в иррациональную, а комплексную; нам надо знать число 10(r+is). Правила (22.1) и (22.2) несколько упрощают задачу
(22.5)
Мы знаем, как вычислить 10r, перемножить числа мы тоже умеем, не умеем только вычислить 10is. Предположим, что это комплексное число x+iy. Задача: дано s, найти х и у. Если

то должно быть верным и комплексно сопряженное уравнение

(Некоторые вещи можно получить и без вычислений, надо просто использовать правила.) Перемножая эти равенства, можно получить еще один интересный результат
(22.6)
Если мы каким-то образом найдем х, то определить у будет очень легко.
Однако как все-таки возвести 10 в мнимую степень? Где искать помощи? Правила нам уже не помогут, но утешает вот что: если удастся возвести 10 в какую-нибудь одну мнимую степень, то ничего не стоит возвести 10 уже в любую степень. Если известно 10is для одного значения s, то вычисление в случае вдвое большего s сводится к возведению в квадрат и т. д. Но как же возвести 10 в хотя бы одну мнимую степень? Для этого сделаем дополнительное предположение; его, конечно, нельзя ставить в один ряд с правилами (22.1) и (22.2), но оно приведет к разумным результатам и позволит нам шагнуть далеко вперед. Предположим, что «закон» 10?=1+2,3025? (когда ? очень мало) верен не только для действительных, но и для комплексных ?. Если это так, то 10is=1+2,3025·is при s?0. Предполагая, что s очень мало (скажем, равно 1/1024), мы получаем хорошее приближение числа 10is.
Теперь можно составить таблицу, которая позволит вычислить все мнимые степени 10, т. е. найти числа x и y. Надо поступить так. Начнем с показателя 1/1024, который мы считаем равным примерно 1+2,3025 i/1024. Тогда
(22.7)
Умножая это число само на себя много раз, мы дойдем до степеней более высоких. Мы просто-напросто перевернули процедуру составления таблицы логарифмов и, вычислив квадрат, 4-ю степень, 8-ю степень и т. д. числа (22.7), составили табл. 22.3. Интересно, что сначала все числа х были положительными, а потом вдруг появилось отрицательное число. Это значит, что существует число s, для которого действительная часть 10is равна нулю. Значение iу в этом случае равно i, т. е. 10is=i, или is=log10i. В качестве примера (см. табл. 22..3) вычислим с ее помощью log10i. Процедура поиска log10i в точности повторяет то, что мы делали, вычисляя log102.
Произведение каких чисел из табл. 22.3 равно чисто мнимому числу? После нескольких проб и ошибок мы найдем, что лучше всего умножить «512» на «128». Их произведение равно 0,13056+0,99144i. Приглядевшись к правилу умножения комплексных чисел, можно понять, что надежду на успех сулит умножение этого числа на число, мнимая часть которого приблизительно равна действительной части нашего числа. Мнимая часть «64» равна 0,14349, что довольно близко к 0,13056. Произведение этих чисел равно -0,01350+0,99993i. Мы перескочили через нуль, поэтому результат нужно разделить на 0,99996+0,00900 i. Как это сделать? Изменим знак i и умножим на 0,99996-0,00900 i (ведь x2+y2=1). В конце концов обнаружим, что если возвести 10 в степень i(1/1024) (512+128+64-4-2+0,20) или 698,20i/1024, то получится мнимая единица. Таким образом, log10i=0,068226i.
Таблица 22.3. последовательное: вычисление квадратов 10i/1024=1+0,0022486i

Более 800 000 книг и аудиокниг! 📚
Получи 2 месяца Литрес Подписки в подарок и наслаждайся неограниченным чтением
ПОЛУЧИТЬ ПОДАРОК