§ 1. Принцип относительности
Свыше двухсот лет считалось, что уравнения движения, провозглашенные Ньютоном, правильно описывают природу. Потом в них была обнаружена ошибка. Обнаружена и тут же исправлена. И заметил ошибку, и исправил ее в 1905 г. один и тот же человек — Эйнштейн.
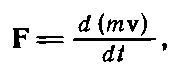
Второй закон Ньютона, выражаемый уравнением

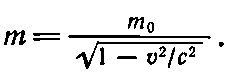
безмолвно предполагал, что m — величина постоянная. Но теперь мы знаем, что это не так, что масса тела возрастает со скоростью. В формуле, исправленной Эйнштейном, m появилась в таком виде:
(15.1)
Здесь «масса покоя» m0— это масса неподвижного тела, а c — скорость света (примерно 3·105 км/сек).
Для кого теория нужна лишь для решения задач, тому этой формулы будет вполне достаточно. Больше ничего от теории относительности ему не понадобится; он просто введет в законы Ньютона поправку на изменяемость массы. Из самой формулы очевидно, что рост массы в обычных условиях незначителен.
Даже если v — скорость спутника (около 8 км/сек), то и при этих условиях v/c=3/105; подстановка этой величины в формулу показывает, что поправка к массе составит не более одной двухмиллиардной части самой массы, что, пожалуй, заметить невозможно. На самом деле, правильность формулы подтверждена наблюдением движения разнообразных частиц, скорость которых практически вплотную подходила к скорости света. В обычных условиях рост массы незаметен; тем замечательней, что он сперва был обнаружен теоретически, а уж после открыт на опыте. Хотя для достаточно больших скоростей рост может быть как угодно велик, открыт он был не таким путем. Закон этот в момент своего открытия означал лишь едва заметное изменение в некоторых цифрах. Тем интереснее разобраться, как сочетание физического размышления и физического эксперимента вызвало его к жизни. Вклад в это дело внесло немалое число людей, но конечным итогом их деятельности явилось открытие Эйнштейна.
У Эйнштейна, собственно говоря, есть две теории относительности. Мы будем здесь говорить только о специальной теории относительности, ведущей свое начало с 1905 г. В 1915 г. Эйнштейн выдвинул еще одну теорию, называемую общей теорией относительности. Она обобщает специальную теорию на случай тяготения; мы не будем ее здесь обсуждать.
Принцип относительности впервые высказал Ньютон в одном из следствий из Законов Движения: «Относительные движения друг по отношению к другу тел, заключенных в каком-либо пространстве, одинаковы, покоится ли это пространство или движется равномерно и прямолинейно без вращения». Это означает, к примеру, что при свободном полете межпланетного корабля с постоянной скоростью все опыты, поставленные на этом корабле, все явления, наблюдаемые на нем, будут таковы, как будто он покоится (конечно, при условии, что наружу из корабля выходить не будут). В этом смысл принципа относительности. Мысль эта — довольно проста; вопрос только в том, верно ли, что во всех опытах, производимых внутри движущейся системы, законы физики выглядят такими же, какими они были бы, если бы система стояла на одном месте. Давайте же сначала посмотрим, так ли выглядят законы Ньютона в движущейся системе. Для этого нам снова понадобится помощь наших молодых людей — Мика и Джо.
Пускай Мик отправился вдоль по оси х с постоянной скоростью u и измеряет свое положение в какой-то точке, показанной на фиг. 15.1.

Фиг. 15.1. Две системы координат, находящиеся в равномерном относительном движении вдоль оси х.
Он обозначает «x-расстояние» точки в своей системе координат как х'. Джо стоит на месте и измеряет положение той же точки, обозначая ее x-координату в своей системе через х. Связь между координатами в двух системах ясна из рисунка. За время t начало системы Мика сдвинулось на ut, и если обе системы вначале совпадали, то
(15.2)
Если подставить эти преобразования координат в законы Ньютона, то законы эти превращаются в такие же законы, но в штрихованной системе; это значит, что законы Ньютона имеют одинаковый вид в движущейся и в неподвижной системах; потому-то, проделав любые опыты по механике, и нельзя сказать, движется система или нет.
Принцип относительности применялся в механике уже издавна. Многие, в частности Гюйгенс, пользовались им для вывода законов столкновения биллиардных шаров почти так же, как мы в гл. 10 доказывали сохранение импульса.
В прошлом столетии в результате исследования явлений электричества, магнетизма и света интерес к принципу относительности возрос. Максвелл подытожил в своих уравнениях электромагнитного поля многие тщательные исследования этих явлений. Его уравнения сводят воедино электричество, магнетизм, свет. Однако уравнения Максвелла, по-видимому, не подчиняются принципу относительности: если преобразовать их подстановкой (15.2), то их вид не останется прежним. Значит, в движущемся межпланетном корабле оптические и электрические явления не такие, как в неподвижном; их можно использовать для определения его скорости, в частности определить и абсолютную скорость корабля, сделав подходящие электрические или оптические измерения. Одно из следствий уравнений Максвелла заключается в том, что если возмущение поля порождает свет, то эти электромагнитные волны распространяются во все стороны одинаково и с одинаковой скоростью с=300 000 км/сек. Другое следствие уравнений: если источник возмущения движется, то испускаемый свет все равно мчится сквозь пространство со скоростью с. Так же бывает и со звуком: скорость звуковых волн тоже не зависит от движения источника.
Эта независимость от движения источника света ставит интересный вопрос. Положим, что мы едем в автомашине со скоростью и, а свет от задних фар распространяется со скоростью с. Дифференцируя первую строчку в (15.2), получаем

Это означает, что, в согласии с преобразованиями Галилея, видимая скорость света по измерениям, проведенным из автомашины, будет не с, а с — u. Например, скорость автомашины 100 000 км/сек, а скорость света 300 000 км/сек, тогда свет от фар будет удаляться с быстротой 200 000 км/сек. Во всяком случае, измерив скорость света, испускаемого фарами (если только справедливы преобразования Галилея для света), можно узнать скорость автомашины. На этой идее основывалось множество опытов по определению скорости Земли, но ни один из них не удался: никакой скорости обнаружено не было. Вы скоро познакомитесь очень подробно с одним из таких опытов. Вы разберетесь, что в нем случилось и в чем было дело. Что-то неладное творилось в ту пору с уравнениями физики. Но что именно?
Более 800 000 книг и аудиокниг! 📚
Получи 2 месяца Литрес Подписки в подарок и наслаждайся неограниченным чтением
ПОЛУЧИТЬ ПОДАРОК