§ 1. Энергия осциллятора

Хотя глава названа «Переходные решения», речь здесь все еще в основном идет об осцилляторе, на который действует внешняя сила. Мы еще ничего не говорили об энергии колебаний. Давайте займемся ею.

Чему равна кинетическая энергия осциллятора? Она пропорциональна квадрату скорости. Здесь мы затронули важный вопрос. Предположим, что мы изучаем свойства некоторой величины А; это может быть скорость или еще что-нибудь. Мы обратились к помощи комплексных чисел: A=^Aexp(i?t), но в физике праведна и чтима только действительная часть комплексного числа. Поэтому если вам для чего-нибудь понадобится получить квадрат А, то не возводите в квадрат комплексное число, чтобы потом выделить его действительную часть.

Действительная часть квадрата комплексного числа не равна квадрату действительной части, она содержит еще и мнимую часть первоначального числа. Таким образом, если мы захотим найти энергию и посмотреть на ее превращения, нам придется на время забыть о комплексных числах.

Итак, истинно физическая величина А — это действительная часть A0exp[i(?t+?)], т. е. A=A0соs(?t+?), а комплексное число ^А — это A0exp(i?). Квадрат этой физической величины равен A02cos2(?t+?). Он изменяется от нуля до максимума, как это предписывается квадратом косинуса. Максимальное значение квадрата косинуса равно 1, минимальное равно 0, а его среднее значение — это 1/2.

Зачастую нас совсем не интересует энергия в каждый данный момент колебания; во многих случаях достаточно знать лишь среднюю величину A2 (среднее значение квадрата А в течение времени, много большего, чем период колебаний). При этих условиях можно усреднить квадрат косинуса и доказать теорему: если А представляется комплексным числом, то среднее значение А2 равно 1/2A02. Здесь А02 — это квадрат модуля комплексного числа А. (Квадрат модуля ^A записывают по-разному: |^A|2 или ^A^A*— в виде произведения числа ^A на комплексно сопряженное.) Эта теорема пригодится нам еще много раз.

Итак, речь идет об энергии осциллятора, на который действует внешняя сила. Движение такого осциллятора описывается уравнением

(24.1)

Мы, конечно, предполагаем, что F(t) пропорциональна cos?t. Выясним теперь, много ли приходится этой силе работать. Работа, произведенная силой в 1 сек, т. е. мощность, равна произведению силы на скорость. [Мы знаем, что работа, совершаемая за время dt, равна Fdx, а мощность равна F(dx/dt).] Значит,

(24.2)

Как легко проверить простым дифференцированием, первые два члена можно переписать в виде (d/dt)[1/2m(dx/dt)2+1/2m?02x2]. Выражение в квадратных скобках — производная по времени суммы двух членов. Это понятно; ведь первый член суммы — кинетическая энергия движения, а второй — потенциальная энергия пружины. Назовем эту величину запасенной энергией, т. е. энергией, накопленной при колебаниях. Давайте усредним мощность по многим циклам, когда сила включена уже давно и осциллятор изрядно наколебался. Если пробег длится долго, запасенная энергия не изменяется; производная по времени дает эффект, в среднем равный нулю. Иными словами, если усреднить затраченную за долгое время мощность, то вся энергия поглотится из-за сопротивления, описываемого членом ?m(dx/dt)2. Определенную часть энергии осциллятор, конечно, запасет, но если усреднять по многим циклам, то количество ее не будет меняться со временем. Таким образом, средняя мощность <P> равна

(24.3)

Применяя метод комплексных чисел и нашу теорему о том, что <А2>=1/2A02, легко найти эту среднюю мощность. Так как x=^xexp(i?t), то dx/dt=i?^xexp(i?t). Следовательно, средняя мощность равна

(24.4)

Если перейти к электрическим цепям, то dx/dt надо заменить на ток I (I — это dq/dt, где q соответствует х), а m? — на сопротивление R. Значит, скорость потери энергии (мощности силы) в электрической цепи равна произведению сопротивления на средний квадрат силы тока

(24.5)

Энергия, естественно, переходит в тепло, выделяемое сопротивлением; это так называемые тепловые потери, или джоулево тепло.

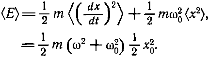
Интересно разобраться также в том, много ли энергии может накопить осциллятор. Не путайте этого вопроса с вопросом о средней мощности, ибо хотя выделяемая силой мощность сначала действительно накапливается осциллятором, потом на его долю остается лишь то, что не поглотило трение. В каждый момент осциллятор обладает вполне определенной энергией, поэтому можно вычислить среднюю запасенную энергию <E>. Мы уже вычислили среднее значение (dx/dt)2, так что

(24.6)

Если осциллятор достаточно добротен и частота ? близка к ?0, то |^х| — большая величина, запасенная энергия очень велика и можно накопить очень много энергии за счет небольшой силы. Сила производит большую работу, заставляя осциллятор раскачиваться, но после того, как установилось равновесие, вся сила уходит на борьбу с трением. Осциллятор располагает большой энергией, если трение очень мало, и потери энергии невелики даже при очень большом размахе колебаний. Добротность осциллятора можно измерять величиной запасенной энергии по сравнению с работой, совершенной силой за период колебания.

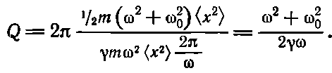
Что это за величина — накопленная энергия по сравнению с работой силы за цикл? Ее обозначили буквой Q. Величина Q — это умноженное на 2? отношение средней запасенной энергии к работе силы за один цикл (можно рассматривать работу не за цикл, а за радиан, тогда в определении Q исчезнет 2?)

(24.7)

Пока Q не слишком велика — это плохая характеристика системы, если же Q довольно большая величина, то можно сказать, что это мера добротности осциллятора. Многие пытались дать самое простое и полезное определение Q; разные определения немногим отличаются друг от друга, но если Q очень велика, то все они согласуются друг с другом. При самом общем определении по формуле (24.7) Q зависит от ?. Если мы имеем дело с хорошим осциллятором вблизи резонансной частоты, то (24.7) можно упростить, положив ?=?0, тогда Q=?0/?, такое определение Q было дано в предыдущей главе. Что такое Q для электрической цепи? Чтобы найти эту величину, надо заменить m на L, m? на R и m?02 на 1/С (см. табл. 23.1). Тогда Q в точке резонанса равна L?/R, где ? — резонансная частота. В цепи с большой Q запасенная цепью энергия велика по сравнению с работой за один цикл, производимой поддерживающей колебания в цепи машиной.

Более 800 000 книг и аудиокниг! 📚

Получи 2 месяца Литрес Подписки в подарок и наслаждайся неограниченным чтением

ПОЛУЧИТЬ ПОДАРОК