§ 1. Сложение и умножение

Изучая осциллятор, нам придется воспользоваться одной из наиболее замечательных, пожалуй самой поразительной из формул, какие можно найти в математике. Физик обычно расправляется с этой формулой примерно за две минуты, даже не обратив на нее внимания. Но наука ведь не только приносит практическую пользу, а служит источником удовольствия, поэтому давайте не будем торопиться проходить мимо этой драгоценности, а посмотрим, как она выглядит в великолепном окружении, которое обычно называют элементарной алгеброй.

Вы можете спросить: «Зачем нужна математика в книге по физике?» Вот несколько уважительных причин: прежде всего математика— очень важный рабочий инструмент, но этим можно оправдать затрату всего лишь двух минут на вывод этой формулы. Однако при изучении теоретической физики мы обнаруживаем, что все физические законы можно записать в виде математических формул, именно это придает законам простоту и красоту. Таким образом, глубокое понимание математических соотношений в конце концов необходимо для понимания природы. Но главная причина — это красота темы: ведь хотя люди разрезали природу на много кусков и продолжают кромсать ее, изучая очень много предметов на различных факультетах, такое разделение искусственно, и мы всегда будем получать наслаждение, собирая вместе отдельные куски.

Еще одна причина, по которой следует заняться поглубже алгеброй: хотя многие из вас уже знакомились с алгеброй в средней школе, но это было только первым знакомством и многие формулы еще непривычны, поэтому стоит еще раз вспомнить алгебру, чтобы не тратить на формулы столько же сил, сколько их уйдет на изучение самой физики.

То, чем мы займемся, с точки зрения математики, не будет настоящей алгеброй. Математик главным образом интересуется тем, как изложить то или иное математическое утверждение и какие предположения обязательны при выводе теоремы, а какие нет. Для нас важнее результат доказательства. Например, теорема Пифагора интересна для нас потому, что в ней сообщается, что сумма квадратов катетов прямоугольного треугольника равна квадрату гипотенузы; это очень интересный факт, и мы будем использовать его, не заботясь о том, действительно ли это доказанная Пифагором теорема или просто аксиома. В том же самом духе мы изложим элементарную алгебру, по возможности чисто качественно. Мы говорим элементарная алгебра потому, что существует ветвь математики, называемая высшей алгеброй, где может оказаться неверным, что ab=ba, но таких вещей мы касаться не будем.

Изучение алгебры начнем с середины. Предположим, что нам уже известно, что существуют целые числа, что есть нуль и что значит увеличить число на единицу. Не говорите, пожалуйста: «Вот так середина!», потому что для математика это середина, ведь он знает теорию множеств и может вывести все эти свойства целых чисел. Но мы не будем вторгаться в область философии математики и математической логики, а ограничимся предположением, что нам известны целые числа и мы умеем считать. Если взять целое число а и прибавить к нему b раз по единице, мы получим число a+b; этим определяется сложение целых чисел.

Определив сложение, проделаем вот что: начнем с нуля и прибавим к нему b раз число а; таким образом мы определим умножение целых чисел и будем называть результат произведением а на b.

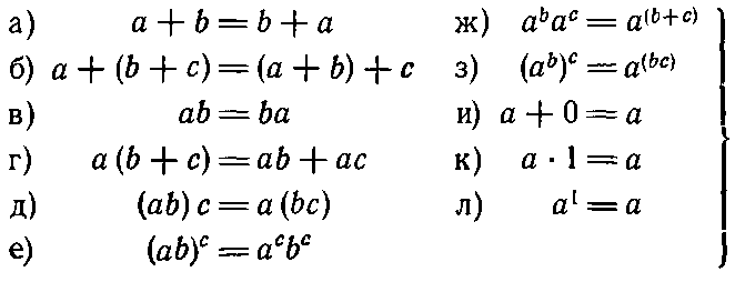
Теперь можно проделать ряд последовательных умножений: если умножить единицу b раз на число а, то мы возведем а в степень b и запишем результат в виде аb. Исходя из этих определений, легко доказать такие соотношения

(22.1)

Эти результаты хорошо известны, мы не хотим долго на них останавливаться, а выписаны они больше для порядка. Конечно, 1 и 0 обладают особыми свойствами, например a+0=а, а·1=а и а в первой степени равно а.

Составляя табличку формул (22.1), мы пользовались такими свойствами, как непрерывность и соотношение порядка; дать им определение очень трудно: для этого создана целая наука. Кроме того, мы выписали, конечно, слишком много «правил»; некоторые из этих правил можно вывести из других, но не будем на этом останавливаться.

Более 800 000 книг и аудиокниг! 📚

Получи 2 месяца Литрес Подписки в подарок и наслаждайся неограниченным чтением

ПОЛУЧИТЬ ПОДАРОК