§ 5. Законы излучения Эйнштейна
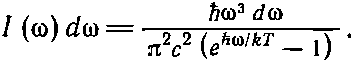
Обратимся теперь к интересной задаче, похожей на только что описанную и связанную с законом излучения черного тела. В предыдущей главе мы разбирали вывод закона распределения излучения в полости по способу Планка, рассматривая излучение осциллятора. Осциллятор обладает определенной средней энергией, а раз он осциллирует, то должен и излучать и накачивать излучение в полость, пока она не заполнится как раз таким количеством излучения, которое нужно для поддержания равновесия между излучением и поглощением. Рассуждая таким образом, мы нашли, что интенсивность излучения частоты ? задается формулой
(42.12)
Этот вывод содержит предположение, что генерирующий излучение осциллятор обладает определенными уровнями энергии, отстоящими друг от друга на равном расстоянии. Мы не говорили о том, что свет состоит из фотонов или чего-то вроде этого. Мы даже не задавали вопроса, каким способом при переходе атома с одного уровня энергии на другой переносится единичная энергия ?? в виде света. Первоначальная идея Планка состояла в том, что вещество квантовано, а свет — нет: осциллятор не может получать любую энергию, а должен принимать ее порциями. Вызывает еще беспокойство то, что способ вывода — полуклассический. Мы вычислили скорость излучения осциллятора, исходя из законов классической физики, а потом забыли об этом и сказали: «Нет, этот осциллятор имеет много уровней энергии». Но для последовательно строгого вывода этой чисто квантовой формулы пришлось пройти длинный путь, завершившийся в 1927 г. созданием квантовой механики. А тем временем Эйнштейн попытался заменить точку зрения Планка, что квантованы только материальные осцилляторы, идеей о том, что свет в действительности состоит из фотонов и его следует в определенном смысле понимать как газ из частиц с энергией ??. Далее, Бор обратил внимание на то, что любая система атомов имеет уровни энергии, но расстояния между ними не обязательно постоянны, как у осцилляторов Планка. Поэтому возникла необходимость пересмотреть вывод или хотя бы более точно исследовать закон излучения, исходя из более последовательной квантовомеханической точки зрения.
Эйнштейн предположил, что окончательная формула Планка правильна и использовал ее для получения новой, ранее неизвестной информации о взаимодействии излучения с веществом. Он рассуждал так: надо рассмотреть любые два из возможных уровней энергии атома, скажем, m-й и n-й уровни (фиг. 42.2).

Фиг. 42.2. Переход между двумя уровнями энергии атома.
Затем Эйнштейн предположил, что, когда атом освещается светом подходящей частоты, он может поглотить фотон, перейдя из состояния n в состояние m, и вероятность такого перехода за 1 сек пропорциональна интенсивности освещающего атом света и еще зависит от того, какие уровни мы возьмем.
Назовем постоянную пропорциональности Bnm, чтобы помнить, что это не универсальная постоянная природы и зависит она от того, какую пару уровней мы выберем: некоторые уровни возбудить легко, а другие возбуждаются с большим трудом. Теперь надо найти формулу, описывающую скорость перехода из m в n. Эйнштейн предположил, что она складывается из двух частей. Даже если внешнего излучения нет, существует вероятность того, что атом, излучив фотон, перейдет из возбужденного состояния в состояние с меньшей энергией. Это так называемое спонтанное излучение.
Это предположение аналогично идее о том, что даже классический осциллятор, обладая определенной энергией, не может ее сохранить; излучение неизбежно вызывает потерю энергии. Таким образом, по аналогии со спонтанным излучением классических систем существует определенная вероятность Amn (она опять зависит от уровней), с которой атом переходит из состояния m в состояние n, и эта вероятность не зависит от того, освещается атом светом или нет. Но Эйнштейн пошел еще дальше и, сравнив с классической физикой и используя другие аргументы, пришел к заключению, что излучение зависит от наличия света вокруг. Когда атом освещается светом подходящей частоты, то вероятность излучения фотона возрастает пропорционально интенсивности света с постоянной пропорциональности Bmn. Если бы нам удалось выяснить, что этот коэффициент равен нулю, то мы уличили бы Эйнштейна в ошибке. Но, конечно, мы увидим, что он был прав.
Итак, Эйнштейн предположил, что существует три сорта процессов: поглощение, пропорциональное интенсивности света, излучение, пропорциональное интенсивности света (его называют индуцированным излучением, или вынужденным излучением), и спонтанное излучение, не зависящее от интенсивности света.
Предположим теперь, что при температуре Т установилось равновесие, и в состоянии n находится некоторое количество атомов Nn, а в состоянии m — некоторое количество атомов Nm. Тогда полное число атомов, переходящих из n в m, равно произведению числа атомов в состоянии n на скорость перехода одного атома из состояния n в состояние m. Таким образом, мы получили формулу для числа атомов, переходящих за 1 сек из n в m:
(42.13)
Число атомов, переходящих из m в n, получается точно таким же способом: надо умножить число атомов в состоянии m на скорость перехода одного атома. На этот раз получаемое выражение выглядит так:
(42.14)
Теперь предположим, что при тепловом равновесии число атомов, поднимающихся на верхний уровень, должно быть равно числу атомов, спускающихся вниз. Это по крайней мере один из способов удержать число атомов на каждом уровне постоянным[32]. Следовательно, при равновесии мы считаем обе скорости равными. Но у нас в запасе есть еще кое-какая информация: мы знаем, насколько велико Nm по сравнению с Nn; отношение этих чисел равно ехр[—(Em-En)/kT]. После этого Эйнштейн предположил, что частота света, который вовлекается в игру при переходах из m в n, соответствует разности энергий, так что во всех наших формулах Еm-Еn=??. Итак,
(42.15)
Таким образом, если приравнять две скорости: NnBmnI(?)=Nm[Amn+BmnI(?)] и поделить на Nm, то мы получим
(42.16)
Из этого выражения можно найти I(?). Это просто:
(42.17)
Но Планк уже сказал нам, что формула должна иметь вид (42.12). Следовательно, мы можем сделать кое-какие выводы: прежде всего Bmn должно быть равно Bnm, потому что иначе ехр(??/kT)-1 не получить. Таким образом, Эйнштейн открыл некоторые соотношения, прямого вывода которых он не знал, например, что вероятности вынужденного излучения и поглощения должны быть равны. Это интересно. Кроме того, чтобы (42.17) и (42.12) согласовались,
(42.18)
Значит, если известна, скажем, скорость поглощения для заданного уровня, то можно получить скорость спонтанного излучения и скорость вынужденного излучения или какую-нибудь комбинацию этих величин.
Больше этого на основании столь общих предположений ни Эйнштейн, ни вообще кто-либо получить не сможет. Чтобы действительно вычислить абсолютную скорость спонтанного излучения или вообще любую скорость специфически атомного перехода, нужно знать все скрытые механизмы атома. Этому учит так называемая квантовая электродинамика, открытая лишь одиннадцать лет спустя. А Эйнштейн предсказал все это в 1916 г.
Возможность вынужденного излучения в наши дни нашла интересное применение. Если есть свет, то он стремится вызвать переход сверху вниз. Тогда этот переход может увеличить энергию света на ??, если найдутся такие атомы, у которых занят верхний уровень. Можно разработать нетепловой метод приготовления газа, в котором число состояний m гораздо больше числа состояний n. Газ будет очень далек от равновесия, и формулу ехр(-??/kT), верную для равновесия, к нему применить нельзя. Можно добиться даже, чтобы число занятых верхних состояний было очень большим, тогда как число атомов в нижнем состоянии практически будет равно нулю. Тогда свет с частотой, соответствующей разности энергий Em-Еn, будет поглощаться очень слабо, потому что атомов, находящихся в состоянии n и способных поглотить его, очень мало. С другой стороны, когда газ из таких атомов освещен, то свет вызывает излучение из верхнего состояния! Таким образом, если в верхнем состоянии находится много атомов, то начинается что-то вроде цепной реакции, когда атомы вдруг начинают излучать; более того, они вынуждены излучать и все разом проваливаются в нижнее состояние. Так работает лазер, а если излучаются инфракрасные волны, то их источник называют мазером.
Чтобы загнать атомы в состояние m, прибегают к разным ухищрениям. Может существовать более высокий уровень, на который атомы можно поднять сильным пучком света высокой частоты. С этого высокого уровня атомы падают вниз, испуская самые различные фотоны, пока не соберутся на уровне m. Если атомы стремятся задержаться на уровне m, не излучая фотонов, то этот уровень называют метастабильным. А потом атомы разом спрыгивают с уровня m, сопровождая прыжок вынужденным излучением. Еще одна техническая деталь — если поместить нашу систему в обычный ящик, то она может спонтанно излучать во многих направлениях, что наносит ущерб вынужденному излучению. Но можно усилить эффект вынуждения и увеличить его значение, поставив у каждой стенки ящика почти полностью отражающие зеркала; тогда излученный свет получает шанс вызвать дополнительное излучение, следующее отражение добавит еще один такой шанс, а потом еще, еще и еще. Хотя зеркала отражают почти весь свет, существует небольшая вероятность прохождения части света сквозь зеркало и выхода наружу. В конце концов весь свет, подчиняясь закону сохранения энергии, выйдет наружу в виде тонкого, сильного пучка. Так и получают мощные пучки света в лазерах

Фиг. 42.3. При возбуждении голубым светом атом поднимается на высший уровень h и, быстро испустив фотон, сваливается с него на уровень m. Когда число атомов в состоянии m становится достаточно большим, возникает действие лазера.
Более 800 000 книг и аудиокниг! 📚
Получи 2 месяца Литрес Подписки в подарок и наслаждайся неограниченным чтением
ПОЛУЧИТЬ ПОДАРОК