§ 1. Вероятность и правдоподобие

«Вероятность», или «шанс», — это слово вы слышите почти ежедневно. Вот по радио передают прогноз погоды на завтра: «Вероятно, будет дождь». Вы можете сказать: «У меня мало шансов дожить до ста лет». Ученые тоже часто употребляют эти слова. Сейсмолога интересует вопрос: какова вероятность того, что в следующем году в Южной Калифорнии произойдет землетрясение такой-то силы? Физик может спросить: с какой вероятностью этот счетчик Гейгера зарегистрирует двадцать импульсов в последующие десять секунд? Дипломата или государственного деятеля волнует вопрос: каковы шансы этого кандидата быть избранным президентом? Ну, а вас, конечно, интересует: есть ли шансы что-либо понять в этой главе?

Под вероятностью мы понимаем что-то вроде предположения или догадки. Но почему и когда мы гадаем? Это делается тогда, когда мы хотим вынести какое-то заключение или вывод, но не имеем достаточно информации или знаний, чтобы сделать вполне определенное заключение. Вот и приходится гадать: может быть, так, а может быть, и не так, но больше похоже на то, что именно так. Очень часто мы гадаем, когда нужно принять какое-то решение, например: «Брать ли мне сегодня с собой плащ или не стоит?» «На какую силу землетрясения должен я рассчитывать проектируемое здание?» «Нужно ли мне делать более надежную защиту?» «Следует ли мне менять свою позицию в предстоящих международных переговорах?» «Идти ли мне сегодня на лекцию?»

Иногда мы строим догадки потому, что хотим при ограниченности своих знаний сказать как можно больше о данной ситуации. В сущности ведь любое обобщение носит характер догадки. Любая физическая теория — это своего рода догадка. Но догадки тоже бывают разные: хорошие и плохие, близкие и далекие. Тому, как делать наилучшие догадки, учит нас теория вероятностей. Язык вероятностей позволяет нам количественно говорить о таких ситуациях, когда исход весьма и весьма неопределенен, но о котором все же в среднем можно что-то сказать.

Давайте рассмотрим классический пример с подбрасыванием монеты. Если монета «честная», то мы не можем знать наверняка, какой стороной она упадет. Однако мы предчувствуем, что при большом числе бросаний число выпадений «орла» и «решки» должно быть приблизительно одинаковым. В этом случае говорят: вероятность выпадения «орла» равна половине.

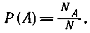
Мы можем говорить о вероятности исхода только тех наблюдений, которые собираемся проделать в будущем. Под вероятностью данного частного результата наблюдения понимается ожидаемая нами наиболее правдоподобная доля исходов с данным результатом при некотором числе повторений наблюдения. Вообразите себе повторяющееся N раз наблюдение, например подбрасывание вверх монеты. Если NАнаша оценка наиболее правдоподобного числа выпадений с результатом А, например выпадений «орла», то под вероятностью Р(А) результата А мы понимаем отношение

(6.1)

Наше определение требует некоторых комментариев. Прежде всего мы говорим о вероятности какого-то события только в том случае, если оно представляет собой возможный результат испытания, которое можно повторить. Но отнюдь не ясно, имеет ли смысл такой вопрос: какова вероятность того, что в этом доме поселилось привидение?

Вы, конечно, можете возразить, что никакая ситуация не может повториться в точности. Это верно. Каждое новое наблюдение должно происходить по крайней мере в другое время или в другом месте. По этому поводу я могу сказать только одно: необходимо, чтобы каждое «повторное» наблюдение казалось нам эквивалентным. Мы должны предполагать по крайней мере, что каждый новый результат наблюдения возник из равноценных начальных условий и из одного и того же уровня начальных знаний. Последнее особенно важно. (Если вы заглянули в карты противника, то, конечно, ваши прогнозы о шансах на выигрыш будут совсем другими, чем если бы вы играли честно!)

Хочу отметить, что я не собираюсь рассматривать значения N и NА в (6.1) только как результат каких-то действительных наблюдений. Число NА — это просто наилучшая оценка того, что могло бы произойти при воображаемых наблюдениях. Поэтому вероятность зависит от наших знаний и способностей быть пророком, в сущности от нашего здравого смысла! К счастью, здравый смысл не столь уже субъективен, как это кажется на первый взгляд. Здравым смыслом обладают многие люди, и их суждения о степени правдоподобия того или иного события в большинстве случаев совпадают. Однако вероятность все же не является «абсолютным» числом. Поскольку в каком-то смысле она зависит от степени нашего невежества, постольку с изменением наших знаний она может меняться.

Отмечу еще одну «субъективную» сторону нашего определения вероятности. Мы говорили, что NА — это «наша оценка наиболее вероятного числа случаев». При этом, конечно, мы не надеялись, что число нужных нам случаев будет в точности равно NА, но оно должно быть где-то близко к NА; это число более вероятно, чем любое другое. Если подбрасывать монету вверх 30 раз, то вряд ли можно ожидать, что число выпадений «орла» будет в точности 15; скорее это будет какое-то число около 15, может быть 12, 13, 14, 15, 16 или 17. Однако если необходимо выбрать из этих чисел какое-то одно число, то мы бы решили, что число 15 наиболее правдоподобно. Поэтому мы и пишем, что Р(орел)=0,5.

Но почему все же число 15 более правдоподобно, чем все остальные? Можно рассуждать следующим образом: если наиболее вероятное число выпадений «орла» будет NО, а полное число подбрасываний N, то наиболее вероятное число выпадений «решек» равно N-NО . (Ведь предполагается, что при каждом подбрасывании должны выпасть только либо «орел», либо «решка» и ничего другого!) Но если монета «честная», то нет основания думать, что число выпадений «орла», например, должно быть больше, чем выпадений «решки»? Так что до тех пор, пока у нас нет оснований сомневаться в честности подбрасывающего, мы должны считать, что NР=NО, а следовательно, NР=NО=N/2, или P(орел)=P(решка)=0,5.

Наши рассуждения можно обобщить на любую ситуацию, в которой возможны m различных, но «равноценных» (т. е. равновероятных) результатов наблюдения. Если наблюдение может привести к m различным результатам и ни к чему больше и если у нас нет оснований думать, что один из результатов предпочтительнее остальных, то вероятность каждого частного исхода наблюдения А будет 1/m, т. е. Р(А)=1/m.

Пусть, например, в закрытом ящике находятся семь шаров разного цвета и мы наугад, т. е. не глядя, берем один из них. Вероятность того, что у нас в руке окажется красный шар, равна 1/7. Вероятность того, что мы из колоды в 36 карт вытащим даму пик, равна 1/36, такая же, как и выпадение двух шестерок при бросании двух игральных костей.

* * *

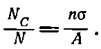
В гл. 5 мы определяли размер ядра с помощью затеняемой им площади или так называемого эффективного сечения. По существу речь шла о вероятностях. Если мы «обстреливаем» быстрыми частицами тонкую пластинку вещества, то имеется некая вероятность, что они пройдут через нее, не задев ядер, однако с некоторой вероятностью они могут попасть в ядро. (Ведь ядра столь малы, что мы не можем видеть их, мы, следовательно, не можем прицелиться, и «стрельба» ведется вслепую.) Если в нашей пластинке имеется n атомов и ядро каждого из них затеняет площадь ?, то полная площадь, затененная ядрами, будет равна n?. При большом числе N случайных выстрелов мы ожидаем, что число попаданий NC будет так относиться к полному числу выстрелов, как затененная ядрами площадь относится к полной площади пластинки:

(6.2)

Поэтому можно сказать, что вероятность попадания каждой из выстреленных частиц в ядро при прохождении сквозь пластинку будет равна

(6.3)

где n/A — просто число атомов, приходящихся на единицу площади пластинки.

Более 800 000 книг и аудиокниг! 📚

Получи 2 месяца Литрес Подписки в подарок и наслаждайся неограниченным чтением

ПОЛУЧИТЬ ПОДАРОК