§ 1. Показатель преломления
Мы уже говорили, что свет в воде движется медленнее, чем в воздухе, а в воздухе чуть медленнее, чем в вакууме. Этот факт учитывается введением показателя преломления n. Попробуем теперь понять, как возникает уменьшение скорости света. В частности, особенно важно проследить связь этого факта с некоторыми физическими предположениями или законами, которые были ранее высказаны и сводятся к следующему:
а) полное электрическое поле при любых физических условиях может быть представлено в виде суммы полей от всех зарядов во Вселенной;
б) поле излучения каждого отдельного заряда определяется его ускорением; ускорение берется с учетом запаздывания, возникающего из-за конечной скорости распространения, всегда равной c.
Но вы, наверное, приведете сразу в качестве примера кусок стекла и воскликнете: «Ерунда, это положение здесь не годится. Нужно говорить, что запаздывание отвечает скорости c/n». Однако это неправильно; попробуем разобраться, почему это неправильно.
Наблюдателю кажется, что свет или любая другая электрическая волна распространяется сквозь вещество с показателем преломления n со скоростью с/n. И это с некоторой точностью так и есть. Но на самом деле поле создается движением всех зарядов, включая и заряды, движущиеся в среде, а все составные части поля, все его слагаемые распространяются с максимальной скоростью c. Задача наша состоит в том, чтобы понять, как возникает кажущаяся меньшая скорость.
Попробуем понять это явление на очень простом примере. Пусть источник (назовем его «внешним источником») помещен на большом расстоянии от тонкой прозрачной пластинки, скажем стеклянной. Нас интересует поле по другую сторону пластинки и достаточно далеко от нее. Все это схематично представлено на фиг. 31.1; точки S и Р здесь предполагаются удаленными на большое расстояние от плоскости.

Фиг. 31.1. Прохождение электрических волн сквозь слой прозрачного вещества.
Согласно сформулированным нами принципам, электрическое поле вдали от пластинки представляется (векторной) суммой полей внешнего источника (в точке S) и полей всех зарядов в стеклянной пластинке, причем каждое поле берется с запаздыванием при скорости с. Напомним, что поле каждого заряда не меняется от присутствия других зарядов. Это наши основные принципы. Таким образом, поле в точке Р может быть записано в виде
(31.1)
(31.2)
где Es — поле внешнего источника; оно совпадало бы с искомым полем в точке Р, если бы не было пластинки. Мы ожидаем, что в присутствии любых движущихся зарядов поле в точке Р будет отлично от Es.
Откуда берутся движущиеся заряды в стекле? Известно, что любой предмет состоит из атомов, содержащих электроны. Электрическое поле внешнего источника действует на эти атомы и раскачивает электроны взад и вперед. Электроны в свою очередь создают поле; их можно рассматривать как новые излучатели. Новые излучатели связаны с источником S, поскольку именно поле источника заставляет их колебаться. Полное поле содержит вклад не только от источника S, но и дополнительные вклады от излучения всех движущихся зарядов. Это значит, что поле в присутствии стекла изменяется, причем таким образом, что внутри стекла его скорость распространения кажется иной. Именно эту идею мы используем при количественном рассмотрении.
Однако точный расчет очень сложен, потому что наше утверждение, что заряды испытывают только действие источника, не совсем правильно. Каждый данный заряд «чувствует» не только источник, но, подобно любому объекту во Вселенной, он чувствует и все остальные движущиеся заряды, в частности и заряды, колеблющиеся в стекле. Поэтому полное поле, действующее на данный заряд, представляет собой совокупность полей от всех остальных зарядов, движение которых в свою очередь зависит от движения данного заряда! Вы видите, что вывод точной формулы требует решения сложной системы уравнений. Эта система очень сложна, и вы будете изучать ее значительно позднее.
А сейчас обратимся к совсем простому примеру, чтобы отчетливо понять проявление всех физических принципов. Предположим, что действие всех остальных атомов на данный атом мало по сравнению с действием источника. Иными словами, мы изучаем такую среду, в которой полное поле мало меняется из-за движения находящихся в ней зарядов. Такая ситуация характерна для материалов с показателем преломления, очень близким к единице, например для разреженных сред. Наши формулы будут справедливы для всех материалов с показателем преломления, близким к единице. Таким путем мы сможем избежать трудностей, связанных с решением полной системы уравнений.
Вы могли по ходу дела заметить, что движение зарядов в пластинке вызывает еще один эффект. Это движение создает волну, распространяющуюся назад в направлении источника S. Такая обратно движущаяся волна есть не что иное, как луч света, отраженный прозрачным материалом. Приходит он не только с поверхности. Отраженное излучение генерируется во всех точках внутри материала, но суммарный эффект эквивалентен отражению с поверхности. Учет отражения лежит за границами применимости настоящего приближения, в котором показатель преломления считается настолько близким к единице, что отраженным излучением можно пренебречь.
* * *
Прежде чем перейти к изучению показателя преломления, следует подчеркнуть, что в основе явления преломления лежит тот факт, что кажущаяся скорость распространения волны различна в разных материалах. Отклонение луча света есть следствие изменения эффективной скорости в разных материалах.
Чтобы пояснить этот факт, мы отметили на фиг. 31.2 ряд последовательных максимумов в амплитуде волны, падающей из вакуума на стекло.

Фиг. 31.2. Связь между преломлением и изменением скорости.
Стрелка, перпендикулярная указанным максимумам, отмечает направление распространения волны. Всюду в волне колебания происходят с одной и той же частотой. (Мы видели, что вынужденные колебания имеют ту же частоту, что и колебания источника.) Отсюда следует, что расстояния между максимумами волн по обе стороны поверхности совпадают вдоль самой поверхности, поскольку волны здесь должны быть согласованы и заряд на поверхности колеблется с одной частотой. Наименьшее расстояние между гребнями волн есть длина волны, равная скорости, деленной на частоту. В вакууме длина волны равна ?0=2?с/?, а в стекле ?=2?v/? или 2?с/?n, где v=c/n— скорость волны. Как видно из фиг. 31.2, единственный способ «сшить» волны на границе состоит в изменении направления движения волны в материале. Простое геометрическое рассуждение показывает, что условие «сшивания» сводится к равенству ?0/sin ?0=?/sin?, или sin?0/sin?=n, а это и есть закон Снелла. Пусть сейчас вас больше не волнует само отклонение света; нужно только выяснить, почему же в самом деле эффективная скорость света в материале с показателем преломления n равна с/n?
* * *
Вернемся снова к фиг. 31.1. Из сказанного ясно, что нужно вычислить поле в точке Р от осциллирующих зарядов стеклянной пластинки. Обозначим эту часть поля, которая представляется вторым членом в равенстве (31.2), через Еа. Добавляя к ней поле источника Es, получаем полное поле в точке Р.
Стоящая перед нами здесь задача, пожалуй, самая сложная из тех, которыми мы будем заниматься в этом году, но сложность ее заключается только в большом количестве складываемых членов; каждый член сам по себе очень прост. В отличие от других случаев, когда мы обычно говорили: «Забудь вывод и смотри только на результат!», теперь для нас вывод гораздо важнее результата. Другими словами, нужно понять всю физическую «кухню», с помощью которой вычисляется показатель преломления.
Чтобы понять, с чем мы имеем дело, найдем, каким должно быть «поправочное поле» Еа, чтобы полное поле в точке Р выглядело как поле источника, замедлившееся при прохождении через стеклянную пластинку. Если бы пластинка никак не влияла на поле, волна распространялась бы направо (по оси z) по закону
(31.3)
или, используя экспоненциальную запись,
(31.4)
А что произошло бы, если бы волна проходила через пластинку с меньшей скоростью? Пусть толщина пластинки есть ?z. Если бы пластинки не было, то волна прошла бы расстояние ?z за время ?z/c. А поскольку кажущаяся скорость распространения есть c/n, то потребуется время n?z/c, т. е. больше на некоторое добавочное время, равное ?t=(n-1) ?z/c. За пластинкой волна снова движется со скоростью с. Учтем добавочное время на прохождение через пластинку, заменив t в уравнении (31.4) на (t-?t), т. е. [t-(n-1)?z/c]. Таким образом, если поставить пластинку, то формула для волны должна приобрести вид
(31.5)
Эту формулу можно переписать еще и по-другому:
(31.6)
откуда заключаем, что поле за пластинкой получается умножением поля, которое было бы при отсутствии пластинки (т. е. Es), на ехр[-i?(n-1)?z/c]. Как мы знаем, умножение осциллирующей функции типа ei?t на еi? означает изменение фазы колебаний на угол ?, возникающее из-за задержки при прохождении пластинки. Фаза запаздывает на величину ?(n-1)?z/c (именно запаздывает, поскольку в экспоненте стоит знак минус).
Мы говорили раньше, что пластинка добавляет поле Еа к первоначальному полю Es=E0ехр[i?(t-z/c)], а вместо этого нашли, что действие пластинки сводится к умножению поля на фактор, сдвигающий фазу колебаний. Однако здесь нет противоречия, поскольку тот же результат можно получить, прибавив подходящее комплексное число. Это число особенно просто найти для малых ?z, так как еx при малых x с большой точностью равно (1+x).
Тогда можно записать
(31.7)
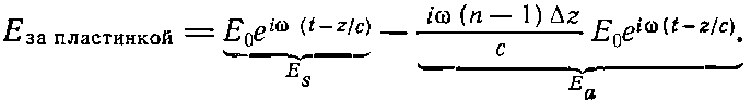
Подставляя это равенство в (31 6), получаем
(31.8)
Первый член в этом выражении есть просто поле источника, а второй следует приравнять Еа — полю, создаваемому осциллирующими зарядами пластинки справа от нее. Поле Еа выражено здесь через показатель преломления n; оно, разумеется, зависит от напряженности поля источника.
* * *
Смысл сделанных преобразований легче всего понять с помощью диаграммы комплексных чисел (см. фиг. 31.3).

Фиг. 31.3. Построение вектора поля прошедшей через материал волны при некоторых значениях t и z.
Отложим сперва Es (z и t выбраны на рисунке такими, что Es лежит на действительной оси, но это не обязательно). Задержка при прохождении пластинки приводит к запаздыванию фазы Es, т. е. поворачивает Es на отрицательный угол. Это все равно, что добавить малый вектор Еа, направленный почти под прямым углом к Es. Именно такой смысл имеет множитель (-i) во втором члене (31.8). Он означает, что при действительном Es величина Еа отрицательная и мнимая, а в общем случае Es и Eа образуют прямой угол.
Более 800 000 книг и аудиокниг! 📚
Получи 2 месяца Литрес Подписки в подарок и наслаждайся неограниченным чтением
ПОЛУЧИТЬ ПОДАРОК