§ 1. Центр масс

В предыдущих главах мы изучали механику точек, или маленьких частиц, внутренняя структура которых нас совершенно не интересовала. В последующих нескольких главах мы изучим применение законов Ньютона к более сложным вещам. Но ведь чем сложнее объект, тем он интереснее, и вы сами увидите, что явления, связанные с такими более сложными объектами, поистине поразительны. Разумеется все эти явления не содержат ничего большего, чем комбинации законов Ньютона, однако временами просто трудно поверить, что все это произошло из F=ma!

Что это за более сложные объекты, с которыми мы будем иметь дело в дальнейшем? Это может быть течение воды, вращение галактик и т. д. Но сначала давайте разберемся с наиболее простым из сложных объектов—твердым телом. Этим термином мы будем называть монолитный объект, который одновременно с изменением положения может еще и вращаться как целое. Впрочем, даже такой простой объект может двигаться достаточно сложно, поэтому давайте сначала рассмотрим наиболее простой случай движения, когда тело крутится вокруг неподвижной оси, причем каждая точка этого тела движется в плоскости, перпендикулярной к этой оси. Такое вращение тела вокруг неподвижной оси называется плоским, или двумерным. Позднее, когда мы обобщим наш результат на случай трех измерений, вы увидите, что вращение гораздо более хитрая штука, чем механика частицы, и без достаточного опыта в двух измерениях понять трехмерные вращения очень трудно.

К первой интересной теореме о движении сложного тела можно прийти следующим образом: попробуйте бросить какой-нибудь предмет, состоящий из множества скрепленных между собой кубиков и стержней. Вы знаете, конечно, что он полетит по параболе; это мы обнаружили еще, когда изучали движение точки. Однако теперь наш объект не точка. Он поворачивается, покачивается и все же летит по параболе; вы можете в этом убедиться. Какая же точка тела описывает параболу? Ну разумеется, не угол кубика, потому что он поворачивается, не конец стержня, не его середина и не центр кубика. Но все-таки что-то движется по параболе, существует некий эффективный «центр», который движется по параболе. Таким образом, первая теорема о сложных объектах говорит, что существует какая-то «средняя» точка, вполне определенная математически, которая движется по параболе. Точка эта не обязательно находится в самом теле, она может лежать и где-то вне его.

Это так называемая теорема о центре масс, и доказывается она следующим образом.

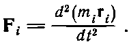
Любой объект можно рассматривать как множество маленьких частичек, атомов, связанных различными силами. Пусть i обозначает номер одной из таких частиц (их страшно много, поэтому i может быть равно, например, 1023). Сила, действующая на i-ю частицу, равна массе, умноженной на ускорение этой частицы:

(18.1)

В последующих главах наши движущиеся объекты и все их части будут двигаться со скоростями, много меньшими, чем скорость света, и поэтому для всех величин мы будем рассматривать только нерелятивистское приближение. Масса при этих условиях будет постоянна, так что

(18.2)

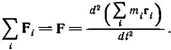
Если теперь сложить все силы, действующие на частицы, т. е. сложить все Fi со всеми значениями индекса, то в результате мы должны получить полную силу F. Складывая же правые части уравнения (18.2) для всех частиц и вспоминая, что производная от суммы равна сумме производных, получаем

(18.3)

Поэтому полная сила равна второй производной от суммы произведений масс частиц на их положение.

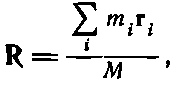
Но полная сила, действующая на все частицы,— это то же самое, что и внешняя сила. Почему? Да потому что, какие бы силы ни действовали между частицами, пусть это будет притяжение или отталкивание, или атомные силы, все равно, когда мы складываем их вместе и применяем Третий закон Ньютона, по которому силы действия и противодействия между любыми двумя частицами равны друг другу, то эти взаимные силы сокращаются друг с другом и в результате останутся только силы, действующие со стороны атомов, находящихся вне тела. Так что, если уравнение (18.3) представляет собой сумму по некоторому числу частиц, образующих наш объект, то внешняя сила, действующая на него, равна просто сумме всех сил, действующих на все частицы, образующие этот объект. Уравнение (18.3) неплохо было бы записать в виде полной массы тела, умноженной на какое-то ускорение. Сделать это можно. Пусть М будет суммой масс всех частиц, т. е. полной массой тела. Если теперь определить вектор R как

(18.4)

то, поскольку М постоянна, уравнение (18.3) перейдет в

(18.5)

Таким образом, внешняя сила равна полной массе, умноженной на ускорение некоторой точки R; эта точка и называется центром масс тела. Она расположена где-то в «середине» тела — некое среднее r, в котором различные ri учитываются в зависимости от их важности, т. е. в зависимости от того, какую долю вносят они в полную массу.

Мы подробно обсудим эту важную теорему несколько позднее, а сейчас остановимся на двух примерах. Пусть на тело не действуют никакие внешние силы, скажем, оно плавает где-то в пустом пространстве. Оно может делать все, что ему угодно: крутиться, покачиваться, изгибаться, но при этом его центр масс, эта искусственно выделенная нами математическая точка, должен двигаться с постоянной скоростью. В частности, если вначале этот центр покоился, то он так и будет покоиться все время. Поэтому если мы возьмем какой-то космический корабль со всеми его пассажирами, вычислим его центр масс и обнаружим, что он стоит на месте, то можно быть уверенным, что центр масс так и останется на месте, если только на корабль не будут воздействовать какие-то внешние силы. Сам корабль, конечно, может немного перемещаться, но это потому, что пассажиры внутри корабля ходят взад и вперед. Так, если все пассажиры одновременно перейдут в носовую часть, то корабль немного подастся назад, чтобы среднее положение всех масс осталось в точности на том же самом месте.

Означает ли это, что в результате неподвижности центра масс ракета не может двигаться вперед? Конечно, нет, но, чтобы продвинуть вперед интересующую нас часть ракеты, мы что-то должны выбросить назад. Иными словами, если вначале ракета покоилась, а затем выбросила из сопла некоторое количество газа, то газ этот полетит назад, а сама ракета полетит при этом вперед, однако центр масс останется точно на том же месте, где он был и раньше. Так что в ракете интересующая нас часть продвинется вперед за счет другой, которая улетит назад.

Второе замечание относительно движения центра масс. Его можно рассматривать отдельно от всех «внутренних» движений тела и, следовательно, его можно не учитывать при изучении вращения. Собственно поэтому мы начали изучать вращения с центра масс.

Более 800 000 книг и аудиокниг! 📚

Получи 2 месяца Литрес Подписки в подарок и наслаждайся неограниченным чтением

ПОЛУЧИТЬ ПОДАРОК