§ 2. Поле, излучаемое средой
Мы должны теперь выяснить, имеет ли поле осциллирующих зарядов в пластинке тот же вид, что и поле Еа во втором члене (31.8). Если это так, то тем самым мы найдем и показатель преломления n [поскольку n — единственный фактор в (31.8), не выражающийся через фундаментальные величины]. Вернемся теперь к вычислению поля Еа, создаваемого зарядами пластинки. (Для удобства мы выписали в табл. 31.1 обозначения, которыми мы уже пользовались, и те, которые нам понадобятся в дальнейшем.)
Таблица 31.1 обозначения которыми мы пользуемся ПРИ ВЫЧИСЛЕНИИ

Если источник S (на фиг. 31.1) находится слева на достаточно большом расстоянии, то поле Es имеет одинаковую фазу по всей длине пластинки, и вблизи пластинки его можно записать в виде
(31.9)
На самой пластинке в точке z=0 мы имеем
(31.10)
Это электрическое поле воздействует на каждый электрон в атоме, и они под действием электрической силы qE будут колебаться вверх и вниз (если E0 направлено вертикально). Чтобы найти характер движения электронов, представим атомы в виде маленьких осцилляторов, т. е. пусть электроны упруго соединены с атомом; это значит, что смещение электронов из нормального положения под действием силы пропорционально величине силы.
Если вы слышали о модели атома, в которой электроны вращаются по орбите вокруг ядра, то эта модель атома вам покажется просто смешной. Но это лишь упрощенная модель. Точная теория атома, основанная на квантовой механике, утверждает, что в процессах с участием света электроны ведут себя так, как будто они закреплены на пружинах. Итак, предположим, «что на электроны действует линейная возвращающая сила, и поэтому они ведут себя как осцилляторы с массой m и резонансной частотой ?0. Мы уже занимались изучением таких осцилляторов и знаем уравнение движения, которому они подчиняются:
(31.11)
(здесь F — внешняя сила).
В нашем случае внешняя сила создается электрическим полем волны источника, поэтому можно написать
(31.12)
где qe — заряд электрона, а в качестве Es мы взяли значение Еs=Е0еi?t из уравнения (31.10). Уравнение движения электрона приобретает вид
(31.13)
Решение этого уравнения, найденное нами раньше, выглядит следующим образом:
(31.15)
подставляя его в (31.13), получаем

откуда
(31.16)
Мы нашли то, что хотели,— движение электронов в пластинке. Оно одинаково для всех электронов, и только среднее положение («нуль» движения) у каждого электрона свое.
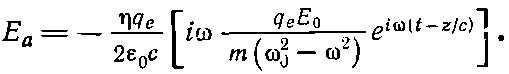
Теперь мы в состоянии определить поле Еа, создаваемое атомами в точке Р, поскольку поле заряженной плоскости было найдено еще раньше (в конце гл. 30). Обращаясь к уравнению (30.19), мы видим, что поле Еа в точке Р есть скорость заряда, запаздывающая по времени на величину z/c, умноженная на отрицательную константу. Дифференцируя х из (31.16), получаем скорость и, введя запаздывание [или же просто подставляя х0 из (31.15) в (30.18)], приходим к формуле
(31.17)
Как и следовало ожидать, вынужденное колебание электронов привело к новой волне, распространяющейся вправо (на это указывает множитель ехр[i?(t-z/c)]); амплитуда волны пропорциональна числу атомов на единице площади пластинки (множитель ?), а также амплитуде поля источника (Е0). Кроме того, возникают и другие величины, зависящие от свойств атомов (qe, m, ?0).
Самый важный момент, однако, заключается в том, что формула (31.17) для Еa очень похожа на выражение Еа в (31.8), полученное нами с помощью введения запаздывания в среде с показателем преломления n. Оба выражения совпадают, если положить
(31.18)
Заметьте, что обе стороны этого равенства пропорциональны ?z, поскольку ? — число атомов на единицу площади — равно N?z, где N — число атомов на единицу объема пластинки. Подставляя N?z вместо ? и сокращая на ?z, получаем наш основной результат — формулу для показателя преломления, выраженную через константы, зависящие от свойств атомов, и частоту света:
(31.19)
Эта формула «объясняет» показатель преломления, к чему мы и стремились.
Более 800 000 книг и аудиокниг! 📚
Получи 2 месяца Литрес Подписки в подарок и наслаждайся неограниченным чтением
ПОЛУЧИТЬ ПОДАРОК