§ 2. Вязкий поток
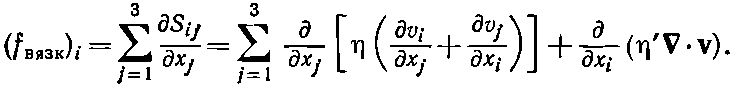
Перейдем теперь к общей теории вязкого потока, по крайней мере настолько общей, насколько это и известно человеку. Вы уже понимаете, что компоненты сдвиговых напряжений сдвига пропорциональны пространственным производным от различных компонент скорости, таких, как ?vx/?y или ?vy/?х. Однако в общем случае сжимаемой жидкости в напряжениях есть и другой член, который зависит от других производных скорости. Общее выражение имеет вид
(41.13)
где хi — какая-либо из координат х, у или z; vi — какая-либо з прямоугольных составляющих скорости. (Значок ?ij обозначает символ Кронекера, который равен единице при i=j и нулю при i?j.) Ко всем диагональным элементам Sij тензора напряжений прибавляется дополнительный член ?'?·v. Если жидкость несжимаема, то ?·v=0 и дополнительного члена не появляется, так что он действительно имеет отношение к внутренним силам при сжатии. Для описания жидкости, точно так же как и для описания однородного упругого тела, требуются две постоянные. Коэффициент ? представляет «обычный» коэффициент вязкости, который мы уже учитывали. Он называется также первым коэффициентом вязкости, а новый коэффициент ?' называется вторым коэффициентом вязкости.
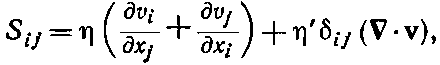
Теперь нам предстоит найти вязкую силу fвязк, действующую на единицу объема, после чего мы сможем подставить ее в уравнение (41.1) и получить уравнение движения реальной жидкости. Сила, действующая на маленький кубический объем жидкости, представляет собой равнодействующую всех сил, действующих на все шесть граней. Взяв их по две сразу, мы получим разность, которая зависит от производных напряжений, и, следовательно, от вторых производных скоростей. Это приятный результат, ибо он приведет нас опять к векторному уравнению. Компонента вязкой силы, действующей на единицу объема в направлении оси хi, равна
(41.14)
Обычно зависимость коэффициентов вязкости от координат положения несущественна и ею можно пренебречь. Тогда вязкая сила на единицу объема содержит только вторые производные скорости. Мы видели в гл. 39, что наиболее общей формой вторых производных в векторном уравнении будет сумма Лапласиана (?·?)v=?2v и градиента дивергенции (? (?·v)). Выражение (41.14) представляет как раз такую сумму с коэффициентами ? и (?+?'). Мы получаем
(41.15)
В случае несжимаемой жидкости ?·v=0 и вязкая сила в единице объема будет просто равна ??2v. Это и все, чем обычно пользуются; однако если вам понадобится вычислить поглощение звука в жидкости, то вам потребуется и второй член. Теперь мы можем закончить вывод уравнения движения реальной жидкости. Подставляя (41.15) в уравнение (41.1), получаем

Уравнение получилось, конечно, сложное, но ничего не поделаешь, такова природа.
Если мы введем ?=??v, как делали это раньше, то наше уравнение можно записать в виде
(41.16)
Мы снова предполагаем, что единственными объемными силами являются консервативные силы типа сил тяжести. Чтобы понять смысл нового члена, давайте рассмотрим случай несжимаемой жидкости. Если мы возьмем ротор уравнения (41.16), то получим
(41.17)
Это напоминает (40.9) с той только разницей, что в правой части имеется еще одно слагаемое. Когда правая часть была равна нулю, то имелась теорема Гельмгольца о том, что вихри всегда движутся вместе с жидкостью. Теперь же в правой части появилось довольно сложное выражение, из которого, однако, не сразу же следуют физические выводы. Если бы мы пренебрегли членом ??(??v), то получили бы диффузионное уравнение. Новый член означает, что вихри диффундируют в жидкости. При большом градиенте вихри расползаются в соседние области жидкости.
Именно поэтому утолщаются кольца табачного дыма. С этим же связано красивое явление, возникающее при прохождении кольца «чистого» вихря (т. е. «бездымного» кольца, созданного с помощью описанной в предыдущей главе аппаратуры) через облако дыма. Когда оно выходит из облака, к нему «прилипает» некое количество дыма и мы видим полую оболочку из дыма. Какое-то количество завихренности ? диффундирует в окружающий дым, продолжая свое движение вперед вместе с вихрем.
Более 800 000 книг и аудиокниг! 📚
Получи 2 месяца Литрес Подписки в подарок и наслаждайся неограниченным чтением
ПОЛУЧИТЬ ПОДАРОК