§ 2. Электрический диполь
Сначала возьмем два точечных заряда +q и -q, разделенных промежутком d. Проведем ось z через заряды, а начало координат поместим посредине между ними (фиг. 6.1).

Фиг. 6.1. Диполь: два заряда +q и -q, удаленные друг от друга на расстояние d.
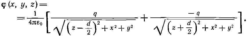
Тогда по формуле (4.24) потенциал системы двух зарядов дается выражением
(6.8)
Мы не собираемся выписывать формулу для электрического поля, но всегда при желании можем это сделать, раз мы знаем потенциал. Так что задача двух зарядов решена.
Существует важный частный случай этой задачи, когда заряды расположены близко друг к другу, иными словами, когда нас интересует поле на таких расстояниях от зарядов, что по сравнению с ними промежуток между зарядами кажется незначительным. Такую тесную пару зарядов называют диполем. Диполи встречаются очень часто.
«Дипольную» антенну можно часто приближенно рассматривать как два заряда, разделенные небольшим расстоянием (если нас не интересует поле у самой антенны). (Обычно интерес представляют антенны с движущимися зарядами; уравнения статики тогда неприменимы, но для некоторых целей они все же представляют весьма сносное приближение.)
Важнее, пожалуй, диполи атомные. Если в каком-то веществе есть электрическое поле, то электроны и протоны испытывают влияние противоположных сил и смещаются друг относительно друга. Вы помните, что в проводнике некоторые электроны сдвигаются к поверхности, так что внутреннее поле обращается в нуль. В изоляторе электроны не могут сильно разойтись; им мешает притяжение ядра. И все же они как-то смещаются. Так что хотя атом (или молекула) и остается нейтральным, во внешнем электрическом поле все же возникает еле заметное разделение положительных и отрицательных зарядов, и атом становится микроскопическим диполем. Если нам нужно знать поле этих атомных диполей поблизости от предмета обычных размеров, то мы имеем дело с расстояниями, большими по сравнению с промежутками между зарядами.
В некоторых молекулах из-за самой их формы заряды несколько разделены даже в отсутствие внешних полей. В молекуле воды, например, имеется отрицательный заряд на атоме кислорода и положительный заряд на обоих атомах водорода, которые расположены несимметрично (фиг. 6.2).

Фиг. 6.2. Молекула воды Н2O.
Хоть заряд всей молекулы равен нулю, все же имеется распределение заряда с небольшим преобладанием отрицательного заряда на одной стороне и положительного на другой. Это расположение, конечно, не такое простое, как у двух точечных зарядов, но если смотреть на него издалека, оно действует как диполь. Как мы увидим чуть позже, поле на больших расстояниях нечувствительно к мелким деталям расположения.
Взглянем теперь на поле двух зарядов противоположных знаков, расстояние d между которыми мало. Если d станет нулем, два заряда сойдутся в одном месте, два потенциала сократятся, поле исчезнет. Но если они не совсем слились, то можно получить хорошее приближение к потенциалу, разложив слагаемые в (6.8) в ряд по степеням малой величины d (по формуле бинома Ньютона). Оставляя только первые степени d, мы напишем

Удобно обозначить

Тогда

и

Разлагая в биномиальный ряд [1-(zd/r2)]-1/2 и отбрасывая члены с высшими степенями d, мы получаем

Подобно этому, и

Вычитая эти два члена, имеем для потенциала
(6.9)
Потенциал, а значит, и поле, являющееся его производной, пропорциональны qd — произведению заряда на расстояния между зарядами. Это произведение называется дипольным моментом пары зарядов, и мы обозначим его символом р (не путайте с импульсом!):
(6.10)
Уравнение (6.9) можно также записать в виде
(6.11)
так как z/r=cos?, где ? — угол между осью диполя и радиус-вектором к точке (х, у, z) (см. фиг. 6.1). Потенциал диполя убывает как 1/r2 при фиксированном направлении (а у точечного заряда он убывает как 1/r). Электрическое поле Е диполя поэтому убывает как 1/r3.
Мы можем записать нашу формулу и в векторном виде, если определим р, как вектор, абсолютная величина которого равна р, а направление выбрано вдоль оси диполя от q- к q+. Тогда
(6.12)
где еr— единичный радиальный вектор (фиг. 6.3).

Фиг. 6.3. Векторные обозначения, для диполя.
Кроме того, точку (x, y, z) можно обозначить буквой r. Итак,
Дипольный потенциал:
(6.13)
Эта формула справедлива для диполя произвольной ориентации и положения, если r — вектор, направленный от диполя к интересующей нас точке.
Если нас интересует электрическое поле диполя, то нужно взять градиент ?. Например, z-компонента поля есть -??/?z. Для диполя, ориентированного вдоль оси z, мы можем использовать (6.9):

или
(6.14)
А х- и y-компоненты равны

Из этих двух компонент можно составить компоненту, перпендикулярную к оси z, которая называется поперечной компонентой E?:

или
(6.15)
Поперечная компонента Е? лежит в плоскости ху и направлена прямо от оси диполя. Полное поле, конечно, равно

Поле диполя меняется обратно пропорционально кубу расстояния от диполя. На оси при ?=0 оно вдвое сильнее, чем при ?=90°. При обоих этих углах электрическое поле обладает только z-компонентой. Знаки ее при я=0 и при z=90° противоположны (фиг. 6.4).

Фиг. 6.4. Электрическое поле диполя.
Более 800 000 книг и аудиокниг! 📚
Получи 2 месяца Литрес Подписки в подарок и наслаждайся неограниченным чтением
ПОЛУЧИТЬ ПОДАРОК