§ 5. Четырехмерный потенциал движущегося заряда
Теперь выпишем законы преобразования, выражающие ? и А в движущейся системе через ? и А в неподвижной, хотя неявно мы уже говорили о них. Поскольку А?=(?, А) является четырехвектором, это уравнение должно выглядеть подобно (25.1), за исключением того, что t нужно заменить на ?, а x — на А. Таким образом,
(25.24)
При этом предполагается, что штрихованная система координат движется по отношению к нештрихованной со скоростью v в направлении оси х.
Рассмотрим один пример плодотворности идеи 4-потенциала. Чему равны векторный и скалярный потенциалы заряда q, движущегося со скоростью v в направлении оси х? Задача очень упрощается в системе координат, движущейся вместе с зарядом, ибо в этой системе заряд покоится. Пусть заряд находится в начале координат системы S', как это показано на фиг. 25.2.

Фиг. 25.2. Система отсчета S' движется со скоростью v (в направлении оси х) по отношению к системе S. Заряд, покоящийся в начале системы координат S', находится в системе S в точке x=vt. Потенциалы в точке Р могут быть найдены для любой системы отсчета.
Скалярный потенциал в движущейся системе задается выражением
(25.25)
причем r' — расстояние от заряда q до точки в движущейся системе, где производится измерение поля. Векторный же потенциал А', разумеется, равен нулю.
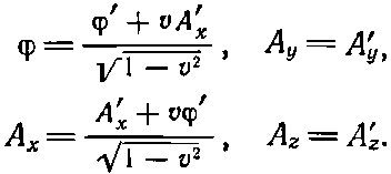
Теперь без особых хитростей можно найти потенциалы ? и А в неподвижной системе координат. Соотношениями, обратными к уравнениям (25.24), будут
(25.26)
Используя далее выражение для ?'[см. (25.25)] и равенство А'=0, получаем

Эта формула дает нам скалярный потенциал ?, который мы увидели бы в системе S, но он, к сожалению, записан через координаты штрихованной системы. Впрочем, это дело легко поправимо; с помощью (25.1) можно выразить t', х', у', z' через t, x, у, z и получить
(25.27)
Повторяя ту же процедуру для вектора А, вы можете показать, что
(25.28)
Это те же самые формулы, которые мы вывели в гл. 21, но там они были получены другим методом.
Более 800 000 книг и аудиокниг! 📚
Получи 2 месяца Литрес Подписки в подарок и наслаждайся неограниченным чтением
ПОЛУЧИТЬ ПОДАРОК