§ 3. Производные полей — градиент
Когда поля меняются со временем, то их изменение можно описать, задав их производные по t. Мы хотим также описать и их изменение в пространстве, потому что мы интересуемся связью, скажем, между температурой в некоторой точке и в точке с ней рядом. Как же задать производную температуры по координате? Дифференцировать температуру по х? Или по у, или по z?
Осмысленные физические законы не зависят от ориентации системы координат. Поэтому их нужно писать так, чтобы по обе стороны знака равенства стояли скаляры или векторы. Что же такое производная скалярного поля, скажем, ?T/?x? Скаляр ли это, или вектор, или еще что? Это, как легко понять, ни то ни другое, потому что если взять другую ось х, то ?T/?x изменится. Но заметьте: у нас есть три возможных производных: ?T/?x, ?T/?y и ?T/?z. Три сорта производных, а ведь мы знаем, что нужно как раз три числа, чтобы образовать вектор. Может быть, эти три производные и представляют собой компоненты вектора:
(2.11)
Ясно, конечно, что, вообще говоря, не из любых трех чисел можно составить вектор. О векторе можно говорить только тогда, когда при повороте системы координат компоненты преобразуются по правильному закону. Так что следует проследить, как меняются эти производные при повороте системы координат. Мы покажем, что (2.11) — действительно вектор. Производные действительно преобразуются при вращении системы координат так, как полагается.
В этом можно убедиться по-разному. Можно, например, задать себе вопрос, ответ на который не должен зависеть от системы координат, и попытаться выразить ответ в «инвариантной» форме. К примеру, если S=A·B и если А и В — векторы, то мы знаем (это доказано в вып. 1, гл. 11), что S — скаляр. Мы знаем, что S — скаляр, не проверяя, меняется ли он при изменении системы координат. Ему ничего иного не остается, раз он является скалярным произведением двух векторов. Подобным же образом, если мы знаем, что А — вектор, и у нас есть три числа B1, B2, В3, и мы обнаруживаем, что
(2.12)
(где S в любой системе координат одно и то же), то три числа B1, B2, В3 обязаны быть компонентами Вх, Ву, Вz некоторого вектора В.
Рассмотрим теперь температурное поле. Возьмем две точки P1 и Р2, разделенные маленьким расстоянием ?R. Температура в Р1 есть T1, а в Р2 она равна T2, и их разница ?Т=Т2-Т1. Температура в этих реальных физических точках, конечно, не зависит от того, какие оси мы выбрали для измерения координат. В частности, ?T — тоже число, не зависящее от системы координат. Это скаляр.
Выбрав удобную систему координат, мы можем написать

где ?x, ?y, ?z — компоненты вектора ?R (фиг. 2.5).

Фиг. 2.5. Вектор ?R с компонентами ?х, ?у, ?z.
Вспомнив (2.7), напишем
(2.13)
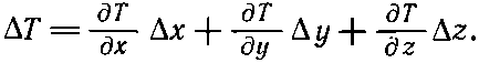
Слева в (2.13) стоит скаляр, а справа — сумма трех произведений каких-то чисел на ?x, ?y, ?z, которые являются компонентами вектора. Значит, три числа

тоже х-, у- и z-компоненты вектора. Мы напишем этот новый вектор при помощи символа ?Т. Символ ? (называемый набла) — это ? вверх ногами; он напоминает нам о дифференцировании. Читают ?T по-разному: «набла T», или «градиент T», или «gradT»:
[4] (2.14)
С этим обозначением (2.13) переписывается в более компактной форме
(2.15)
Или, выражая словами: разница температур в двух близких точках есть скалярное произведение градиента Т на вектор смещения второй точки относительно первой. Форма (2.15) также служит иллюстрацией к нашему утверждению, что ?Т — действительно вектор.
Быть может, вы еще не убеждены? Тогда докажем иначе. (Хотя, вглядевшись внимательно, вы увидите, что это на самом деле то же самое доказательство, только подлиннее!) Мы покажем, что компоненты ?Т преобразуются абсолютно так же, как и компоненты R, а значит, ?Т — тоже вектор в соответствии с первоначальным определением вектора в вып. 1, гл. 11. Мы выберем новую систему координат х', у', z' и в ней вычислим ?T/?x', ?T/?y', ?T/?z'. Для простоты положим z=z', так что о третьей координате мы можем позабыть. (Можете сами заняться проверкой более общего случая.)
Выберем систему х', у', повернутую относительно х, y-системы на угол ? (фиг. 2.6, а).

Фиг. 2.6. Переход к повернутой системе координат (а) и частный случай интервала ?R, параллельного к оси х (б).
Координаты точки (х, у) в штрихованной системе имеют вид
(2.16)
(2.17)
или, решая относительно x и y,
(2.18)
(2.19)
Если всякая пара чисел преобразуется так же, как x и y, то она является компонентами вектора.
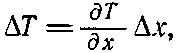
Рассмотрим теперь разницу в температурах двух соседних точек Р1 и Р2 (фиг. 2.6, б). В координатах х, у запишем
(2.20)
так как ?у=0.
А в штрихованной системе? Там мы бы написали
(2.21)
Глядя на фиг. 2.6, б, мы видим, что
(2.22)
и
(2.23)
так как ?y отрицательно при положительном ?x. Подставляя в (2.21), получаем
(2.24)
(2.25)
Сравнивая (2.25) с (2.20), мы видим, что
(2.26)
Это уравнение говорит нам, что ?T/?x получается из ?T/?x' и ?T/?y' в точности так же, как х из х' и у' в (2.18). Значит, ?T/?x — это x-компонента вектора. Сходные же рассуждения показывают, что ?T/?y и ?T/?z суть у- и z-компоненты. Стало быть, ?Т есть на самом деле вектор. Это векторное поле, образованное из скалярного поля Т.
Более 800 000 книг и аудиокниг! 📚
Получи 2 месяца Литрес Подписки в подарок и наслаждайся неограниченным чтением
ПОЛУЧИТЬ ПОДАРОК