§ 1. Свет и электромагнитные волны
В предыдущей главе мы видели, что среди решений уравнений Максвелла есть электромагнитные волны. Свету, радио, рентгеновским лучам и т. д. отвечают электромагнитные волны отличающиеся только длиной волны. Мы уже подробно изучали различные явления, связанные со светом. В этой главе мы хотим связать оба вопроса и показать, что уравнения Максвелла действительно могли служить основой для изучения свойств света.
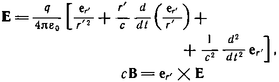
Наше изучение света мы начали с того, что выписали уравнение для электрического поля, создаваемого зарядом, который мог как-то произвольно двигаться. Уравнение имело вид

[см. гл. 28 (вып. 3), выражение (28.3)][27].
Если заряд движется произвольным образом, то электрическое поле, которое существует в некоторой точке, в настоящий момент зависит только от положения и движения заряда в более ранний момент времени, отстающий на интервал, необходимый для того, чтобы свет, двигаясь со скоростью с, прошел расстояние r' от заряда до точки поля. Иными словами, если вам нужно знать электрическое поле в точке (1) в момент t, вы должны подсчитать положение (2') заряда и его движение в момент (t-r'/с) [где r' — расстояние до точки (1)] из положения заряда (2') в момент (t—r/с). Штрихи здесь напоминают вам, что r' — это так называемое «запаздывающее расстояние» от точки (2') к точке (1), а вовсе не теперешнее расстояние между точкой (2) — положением заряда в момент t — и точкой поля (1) (фиг. 21.1).

Фиг. 21.1. Поля в точке (1) в момент t зависят от того положения (2'), которое заряд q занимал в момент (t — r'/с).
Заметьте, что сейчас по-иному определяется направление единичного вектора еr. В гл. 28 и 34 (вып. 3) мы уславливались, что r (и, стало быть, еr) будет показывать на источник. Теперь же мы следуем определению, используемому в формулировке закона Кулона, по которому r направлено от заряда [в точке (2)] к точке (1) поля. Единственное отличие в том, что новое r (и еr) противоположно старому.
Мы видели также, что если скорость заряда v всегда много меньше с и если рассматриваются только точки, сильно удаленные от заряда, так что в (21.1) существенно лишь последнее слагаемое, то поля можно также записать в виде

и

Рассмотрим более детально, что дает полное уравнение (21.1). Вектор еr — это единичный вектор, направленный от «запаздывающей» точки (2') к точке (1). Тогда первое слагаемое дает то, чего следовало бы ожидать, если бы заряд в своем «запаздывающем» положении создавал кулоново поле,— это можно назвать «запаздывающим кулоновым полем». Электрическое поле обратно пропорционально квадрату расстояния и направлено от «запаздывающего» положения заряда (т. е. по вектору еr').
Но это только первое слагаемое. Остальные напоминают нам, что законы электричества не утверждают, что все поля, оставаясь, как и были, статическими, начинают просто запаздывать (а такое утверждение порой приходится слышать). К «запаздывающему кулонову полю» надо добавить два других слагаемых.
Второе говорит, что к запаздывающему кулонову полю надо сделать «поправку», равную быстроте изменения запаздывающего кулонова поля, умноженной на r'/с, т. е. на само запаздывание. Этот множитель как бы стремится скомпенсировать запаздывание в первом. Два первых слагаемых соответствуют вычислению «запаздывающего кулонова поля» и затем экстраполяции его в будущее, на время r'/с, т. е. как раз к моменту t! Экстраполяция линейна, как если бы мы предположили, что «запаздывающее кулоново поле» будет по-прежнему изменяться со скоростью, рассчитанной для заряда в точке (2'). Если поле меняется медленно, эффект запаздывания почти полностью сводится на нет поправочным слагаемым, и оба слагаемых вместе приводят к величине электрического поля, очень близкой к «мгновенному кулонову полю» заряда, находящегося в точке (2).
Наконец, в формуле (21.1) имеется еще третье слагаемое — вторая производная единичного вектора еr'. Изучая явление света, мы по существу использовали тот факт, что вдали от заряда два первых слагаемых убывают как обратный квадрат расстояния и на больших расстояниях оказываются слишком слабыми по сравнению с третьим, которое убывает как 1/r. Поэтому мы сосредоточили наше внимание на последнем слагаемом и показали, что оно (опять-таки на больших расстояниях) пропорционально компоненте ускорения заряда, поперечной к линии зрения. (Кроме того, почти всюду ранее мы рассматривали только случай, когда заряды двигались нерелятивистски. Релятивистские эффекты рассматривались только в гл. 34, вып. 3.)
Теперь нужно попробовать связать эти две вещи. У нас есть уравнения Максвелла и есть формула (21.1) для поля точечного заряда. Естественно спросить, эквивалентны ли они? Если мы сможем вывести (21.1) из уравнений Максвелла, то действительно поймем связь света с электромагнетизмом. Вывод ее и есть главная цель этой главы.
Выясняется, что полного вывода мы сделать не можем — чересчур сложные математические детали не позволят нам выйти с поля боя без потерь. Но все же мы подойдем к цели достаточно близко, так что вы легко поймете, как может быть установлена интересующая нас связь. Мы опустим лишь некоторые математические детали. Математика этой главы может показаться некоторым из вас довольно сложной, и, возможно, вам даже станет скучно следить внимательно за выводом. Но мы все же считаем, что очень важно связать то, что вы учили раньше, с тем, что вы изучаете сейчас, или по крайней мере продемонстрировать, как эта связь может быть установлена. Если вы не забыли прежние главы, то обратите внимание на то, что всякий раз, как мы принимали некоторое высказывание за исходную точку обсуждения, мы заботливо объясняли, является ли это высказывание новым «допущением», т. е. отражает ли оно основной закон природы или же его можно в конечном счете вывести из каких-то других законов. Дух этих лекций обязывает нас обсудить связь между светом и уравнениями Максвелла. Может быть, вам будет кое-где и трудно — с этим уж ничего не поделаешь: другого пути не существует.
Более 800 000 книг и аудиокниг! 📚
Получи 2 месяца Литрес Подписки в подарок и наслаждайся неограниченным чтением
ПОЛУЧИТЬ ПОДАРОК