§ 4. Законы электромагнетизма
Первый закон электромагнетизма описывает поток электрического поля:
(1.6)
где ?0 — некоторая постоянная (читается эпсилон-нуль). Если внутри поверхности нет зарядов, а вне ее (даже совсем рядом) есть, то все равно средняя нормальная компонента Е равна нулю, так что никакого потока через поверхность нет. Чтобы показать пользу от такого типа утверждений, мы докажем, что уравнение (1.6) совпадает с законом Кулона, если только учесть, что поле отдельного заряда обязано быть сферически симметричным. Проведем вокруг точечного заряда сферу. Тогда средняя нормальная компонента в точности равна значению Е в любой точке, потому что поле должно быть направлено по радиусу и иметь одну и ту же величину во всех точках сферы. Тогда наше правило утверждает, что поле на поверхности сферы, умноженное на площадь сферы (т. е. вытекающий из сферы поток), пропорционально заряду внутри нее. Если увеличивать радиус сферы, то ее площадь растет, как квадрат радиуса. Произведение средней нормальной компоненты электрического поля на эту площадь должно по-прежнему быть равно внутреннему заряду, значит, поле должно убывать, как квадрат расстояния; так получается поле «обратных квадратов».
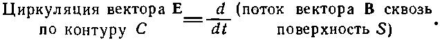
Если взять в пространстве произвольную кривую и измерить циркуляцию электрического поля вдоль этой кривой, то окажется, что она в общем случае не равна нулю (хотя в кулоновом поле это так). Вместо этого для электричества справедлив второй закон, утверждающий, что
(1.7)
И, наконец, формулировка законов электромагнитного поля будет закончена, если написать два соответствующих уравнения для магнитного поля В:
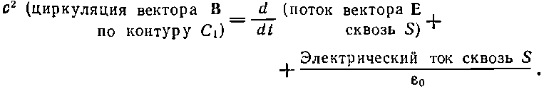
(1.8)
А для поверхности S, ограниченной кривой С:
(1.9)
Появившаяся в уравнении (1.9) постоянная с2 — это квадрат скорости света. Ее появление оправдано тем, что магнетизм по существу есть релятивистское проявление электричества. А константа ?0 поставлена для того, чтобы возникли привычные единицы силы электрического тока.
Уравнения (1.6) — (1.9), а также уравнение (1.1) — это все законы электродинамики[3].
Как вы помните, законы Ньютона написать было очень просто, но из них зато вытекало множество сложных следствий, так что понадобилось немало времени, чтобы изучить их все. Законы электромагнетизма написать несравненно трудней, и мы должны ожидать, что следствия из них будут намного более запутаны, и теперь нам придется очень долго в них разбираться.
Мы можем проиллюстрировать некоторые законы электродинамики серией несложных опытов, которые смогут нам показать хотя бы качественно взаимоотношения электрического и магнитного полей. С первым членом в уравнении (1.1) вы знакомитесь, расчесывая себе волосы, так что о нем мы говорить не будем. Второй член в уравнении (1.1) можно продемонстрировать, пропустив ток по проволоке, висящей над магнитным бруском, как показано на фиг. 1.6.

Фиг. 1.6. Магнитная палочка, создающая возле провода поле В. Когда по проводу идет ток, провод смещается из-за действия силы F=qv?B.
При включении тока проволока сдвигается из-за того, что на нее действует сила F=qv?B. Когда по проводу идет ток, заряды внутри него движутся, т. е. имеют скорость v, и на них действует магнитное поле магнита, в результате чего провод отходит в сторону.
Когда провод сдвигается влево, можно ожидать, что сам магнит испытает толчок вправо. (Иначе все это устройство можно было бы водрузить на платформу и получить реактивную систему, в которой импульс не сохранялся бы!) Хотя сила чересчур мала, чтобы можно было заметить движение магнитной палочки, однако движение более чувствительного устройства, скажем стрелки компаса, вполне заметно.
Каким же образом ток в проводе толкает магнит? Ток, текущий по проводу, создает вокруг него свое собственное магнитное поле, которое и действует на магнит. В соответствии с последним членом в уравнении (1.9) ток должен приводить к циркуляции вектора В; в нашем случае линии поля В замкнуты вокруг провода, как показано на фиг. 1.7. Именно это поле В и ответственно за силу, действующую на магнит.

Фиг. 1.7. Магнитное поле тока, текущего по проводу, действует на магнит с некоторой силой.
Уравнение (1.9) сообщает нам, что при данной величине тока, текущего по проводу, циркуляция поля В одинакова для любой кривой, окружающей провод. У тех кривых (окружностей, например), которые лежат далеко от провода, длина оказывается больше, так что касательная компонента В должна убывать. Вы видите, что следует ожидать линейного убывания В с удалением от длинного прямого провода.
Мы сказали, что ток, текущий по проводу, образует вокруг него магнитное поле и что если имеется магнитное поле, то оно действует с некоторой силой на провод, по которому идет ток. Значит, следует думать, что если магнитное поле будет создано током, текущим в одном проводе, то оно будет действовать с некоторой силой и на другой провод, по которому тоже идет ток. Это можно показать, применив два свободно подвешенных провода (фиг. 1.8). Когда направление токов одинаково, провода притягиваются, а когда направления противоположны — отталкиваются.

Фиг. 1.8. Два провода, по которым течет ток, тоже действуют друг на друга с определенной силой.
Короче говоря, электрические токи, как и магниты, создают магнитные поля. Но тогда что же такое магнит? Раз магнитные поля создаются движущимися зарядами, то не может ли оказаться, что магнитное поле, созданное куском железа, на самом деле есть результат действия токов? Видимо, так оно и есть. В наших опытах можно заменить магнитную палочку катушкой с навитой проволокой, как показано на фиг. 1.9.

Фиг. 1.9. Магнитная палочка, показанная на фиг. 1.6, может быть заменена катушкой, по которой течет ток. На провод по-прежнему будет действовать сила.
Когда ток проходит по катушке (как и по прямому проводу над нею), наблюдается точно такое же движение проводника, как и прежде, когда вместо катушки стоял магнит. Все выглядит так, как если бы внутри куска железа непрерывно циркулировал ток. Действительно, свойства магнитов можно понять как непрерывный ток внутри атомов железа. Сила, действующая на магнит на фиг. 1.7, объясняется вторым членом в уравнении (1.1).
Откуда же берутся эти токи? Один источник — это движение электронов по атомным орбитам. У железа это не так, но у некоторых материалов происхождение магнетизма именно таково. Кроме вращения вокруг ядра атома, электрон вращается еще вокруг своей собственной оси (что-то похожее на вращение Земли); вот от этого-то вращения и возникает ток, создающий магнитное поле железа. (Мы сказали «что-то похожее на вращение Земли», потому что на самом деле в квантовой механике вопрос столь глубок, что не укладывается достаточно хорошо в классические представления.) В большинстве веществ часть электронов вертится в одну сторону, другая — в другую, так что магнетизм исчезает, а в железе (по таинственной причине, о которой мы поговорим позже) многие электроны вращаются так, что их оси смотрят в одну сторону и это служит источником магнетизма.
Поскольку поля магнитов порождаются токами, то в уравнения (1.8) и (1.9) нет нужды вставлять добавочные члены, учитывающие существование магнитов. В этих уравнениях речь идет о всех токах, включая круговые токи от вращающихся электронов, и закон оказывается правильным. Надо еще отметить, что, согласно уравнению (1.8), магнитных зарядов, подобных электрическим зарядам, стоящим в правой части уравнения (1.6), не существует. Они никогда не были обнаружены.
Первый член в правой части уравнения (1.9) был открыт Максвеллом теоретически; он очень важен. Он говорит, что изменение электрических полей вызывает магнитные явления. На самом деле без этого члена уравнение утеряло бы смысл, ведь без него исчезли бы токи в незамкнутых контурах. А на деле такие токи существуют; об этом говорит следующий пример. Представьте конденсатор, составленный из двух плоских пластин. Он заряжается током, притекающим к одной из пластин и оттекающим от другой, как показано на фиг. 1.10.

Фиг. 1.10. Циркуляция поля В по кривой С определяется либо током, текущим сквозь поверхность S1 либо быстротой изменения потока, поля Е сквозь поверхность S2.
Проведем вокруг одного из проводов кривую С и натянем на нее поверхность (поверхность S1), которая пересечет провод. В соответствии с уравнением (1.9) циркуляция поля В по кривой С дается величиной тока в проводе (умноженной на с2). Но что будет, если мы натянем на кривую другую поверхность S2 в форме чашки, донышко которой расположено между пластинами конденсатора и не касается провода? Через такую поверхность никакой ток, конечно, не проходит. Но ведь простое изменение положения и формы воображаемой поверхности не должно изменять реального магнитного поля! Циркуляция поля В должна остаться прежней. И действительно, первый член в правой части уравнения (1.9) так комбинируется со вторым членом, что для обеих поверхностей S1 и S2 возникает одинаковый эффект. Для S2 циркуляция вектора В выражается через степень изменения потока вектора Е от одной пластины к другой. И получается, что изменение Е связано с током как раз так, что уравнение (1.9) оказывается выполненным. Максвелл видел необходимость этого и был первым, кто написал полное уравнение.
С помощью устройства, изображенного на фиг. 1.6, можно продемонстрировать другой закон электромагнетизма. Отсоединим концы висящей проволочки от батарейки и присоединим их к гальванометру — прибору, регистрирующему прохождение тока по проводу. Стоит лишь в поле магнита качнуть проволоку, как по ней сразу пойдет ток. Это новое следствие уравнения (1.1): электроны в проводе почувствуют действие силы F=qv?B. Скорость их сейчас направлена в сторону, потому что они отклоняются вместе с проволочкой. Это v вместе с вертикально направленным полем В магнита приводит к силе, действующей на электроны вдоль провода, и электроны отправляются к гальванометру.
Положим, однако, что мы оставили проволочку в покое и принялись перемещать магнит. Мы чувствуем, что никакой разницы быть не должно, ведь относительное движение то же самое, и впрямь ток по гальванометру идет. Но как же магнитное поле действует на покоящиеся заряды? В соответствии с уравнением (1.1) должно возникнуть электрическое поле. Движущийся магнит должен создавать электрическое поле. На вопрос — как это происходит, отвечает количественно уравнение (1.7). Это уравнение описывает множество практически очень важных явлений, происходящих в электрических генераторах и трансформаторах.
Наиболее замечательное следствие наших уравнений — это то, что, сочетая уравнения (1.7) и (1.9), можно понять, отчего электромагнитные явления распространяются на дальние расстояния. Причина этого, грубо говоря, примерно такова: предположим, что где-то имеется магнитное поле, которое возрастает по величине, скажем, оттого, что внезапно пустили ток по проводу. Тогда из уравнения (1.7) следует, что должна возникнуть циркуляция электрического поля. Когда электрическое поле начинает постепенно возрастать для возникновения циркуляции, тогда, согласно уравнению (1.9), должна возникать и магнитная циркуляция. Но возрастание этого магнитного поля создаст новую циркуляцию электрического поля и т. д. Таким способом поля распространяются сквозь пространство, не нуждаясь ни в зарядах, ни в токах нигде, кроме источника полей. Именно таким способом мы видим друг друга! Все это спрятано в уравнениях электромагнитного поля.
Более 800 000 книг и аудиокниг! 📚
Получи 2 месяца Литрес Подписки в подарок и наслаждайся неограниченным чтением
ПОЛУЧИТЬ ПОДАРОК