§ 8. Другие элементы цепи
До сих пор мы определили только идеальные импедансы цепи — индуктивность, емкость и сопротивление, а также идеальный генератор напряжения. Теперь мы хотим показать, что другие элементы, такие, как взаимоиндукция, или транзисторы, или радиолампы, можно описать, пользуясь теми же основными элементами. Пусть имеются две катушки, и пусть (это сделано нарочно или как-нибудь иначе) поток от одной из катушек пересекает другую (фиг. 22.26,а).

Фиг. 22.26. Эквивалентная схема взаимной индукции.
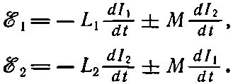
Тогда возникает взаимная индукция М двух катушек, так что, когда ток в одной катушке меняется, в другой генерируется напряжение. Можно ли в наших эквивалентных контурах учесть такой эффект? Можно, поступив следующим образом. Мы видели, что наведенная в каждой из двух взаимодействующих катушек э. д. с. может быть представлена в виде суммы двух частей:
(22.34)
Первое слагаемое возникает из самоиндукции катушки, а второе — из ее взаимоиндукции с другой катушкой. Перед вторым слагаемым может стоять плюс или минус, смотря по тому, как поток от одной катушки пронизывает вторую. Делая те же приближения, как и тогда, когда мы описывали идеальную индуктивность, мы можем сказать, что разность потенциалов на зажимах каждой катушки равна э. д. с. катушки. И тогда оба уравнения (22.34) совпадут с теми, которые получились бы из цепи фиг. 22.26, б, если бы э. д. с. в каждом из двух начерченных контуров зависела от тока в противоположном контуре следующим образом:
(22.35)
Значит, можно представить действие самоиндукции нормальным образом, а действие взаимной индукции заменить вспомогательным идеальным генератором напряжения. Надо, конечно, иметь еще уравнение, связывающее эту э. д. с. с током в какой-то другой части цепи; но, поскольку это уравнение линейно, мы просто добавляем к нашим уравнениям цепи еще одно линейное уравнение, и все наши прежние выводы насчет эквивалентных схем и тому подобного все равно остаются правильными.
Кроме взаимной индукции, можно еще говорить и о взаимной емкости. До сих пор, говоря о конденсаторах, мы всегда представляли, что у них только по два электрода, но во многих случаях (скажем, в радиолампах) могут быть и по нескольку электродов, расположенных вплотную друг к другу. Если на один из них поместить электрический заряд, то его электрическое поле наведет заряды на всех остальных электродах и повлияет на их потенциал. В качестве примера рассмотрим расположение четырех пластин (фиг. 22.27, а).

Фиг. 22.27. Эквивалентная схема взаимной емкости.
Представим, что эти четыре пластины соединяются с внешней цепью проводами А, В, С и D. Так вот, пока нас интересуют только электростатические эффекты, эквивалентную схему такого расположения электродов можно считать такой, как на фиг. 22.27,б. Электростатическое взаимодействие электродов (всякого со всяким) эквивалентно емкости между этой парой электродов.
И, наконец, посмотрим, как нужно представлять в цепях переменного тока такие сложные устройства, как транзисторы или радиолампы. Надо сначала подчеркнуть, что эти устройства часто действуют так, что связь между токами и напряжениями отнюдь не линейна. В этих случаях часть сделанных нами раньше утверждений, а именно те, которые зависят от линейности уравнений, естественно, перестают быть правильными. Но во многих приложениях рабочие характеристики в достаточной мере линейны — так что и транзисторы и лампы можно считать линейными устройствами. Под этим подразумевается, что переменные токи, скажем в анодной цепи радиолампы, прямо пропорциональны разности потенциалов на других электродах, например потенциала сетки и анодного потенциала. Когда же такие линейные соотношения существуют, то к устройствам можно применять представление об эквивалентных схемах.
Как и в случае взаимной индукции, это описание должно включать в себя добавочные генераторы напряжения, которые описывают влияние напряжений или токов в одной части устройства на токи или напряжения в другой его части. К примеру, анодный контур триода, как правило, можно представить сопротивлением, последовательно соединенным с идеальным генератором напряжения, у которого сила источника пропорциональна напряжению на сетке. Получится эквивалентный контур, изображенный на фиг. 22.28[31].

Фиг. 22.28. Низкочастотная эквивалентная схема вакуумного триода.
Подобным же образом контур коллектора транзистора удобно представлять в виде сопротивления, последовательно соединенного с идеальным генератором напряжения, сила источника которого пропорциональна силе тока, текущего от эмиттера к базе транзистора. Эквивалентный контур тогда похож на изображенный на фиг. 22.29.

Фиг. 22.29. Низкочастотная эквивалентная схема транзистора.
До тех пор пока уравнения, описывающие их действие, остаются линейными, мы имеем полное право пользоваться таким представлением для ламп или транзисторов. И тогда, даже если они входят в сложную сеть, все равно наше общее заключение об эквивалентном представлении любого произвольного соединения элементов остается верным.
Контур транзистора и радиолампы имеет одну замечательную способность, которой лишены контуры, включающие одни импедансы: действительная часть эффективного импеданса zэфф может стать отрицательной. Мы видели, что действительная часть z представляет потери энергии. Но важная характеристика транзисторов и радиоламп состоит в том, что они снабжают контур энергией. (Конечно, они ее не «вырабатывают»; они берут энергию у цепи постоянного тока, у источника тока, и превращают ее в энергию переменного тока.) Стало быть, появляется возможность получить контур с отрицательным сопротивлением. Такой контур имеет интересное свойство: если подключить его к импедансу с положительной действительной частью, т. е. к положительному сопротивлению, и устроить все так, чтобы сумма двух действительных частей обратилась в нуль, то в этом объединенном контуре рассеяния энергии не будет. А раз нет потерь энергии, то любое переменное напряжение, стоит его однажды включить, никогда больше не исчезнет. Это основная идея работы осциллятора или генератора сигналов, который можно использовать в качестве источника переменного тока какой угодно частоты.
Более 800 000 книг и аудиокниг! 📚
Получи 2 месяца Литрес Подписки в подарок и наслаждайся неограниченным чтением
ПОЛУЧИТЬ ПОДАРОК